精英家教网 > 高中数学 > 题目详情
一个六棱柱的底面是正六边形,其侧棱垂直底面.已知该六棱柱的顶点都在同一个球面上,且该六棱柱的体积为,底面周长为3,则这个球的体积为   
【答案】分析:由已知中一个六棱柱的底面是正六边形,其侧棱垂直底面.已知该六棱柱的顶点都在同一个球面上,且该六棱柱的体积为,底面周长为3,我们易算出该棱柱底面上棱的长度,及球心到底面的距离,然后计算出球的半径,进而可以得到球的体积.
解答:解:令球的半径为R,六棱柱的底面边长为a,高为h,
∵六棱柱的体积为,底面周长为3,

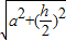
又∵R=
∴R=1
∴球的体积V==
故答案为:
点评:本题考查的知识点是球的体积,球内接多面体,其中根据截面圆半径,球心距,球半径构成直角三角形,满足勾股定理,求出球的半径是解答本题的关键.
练习册系列答案
相关习题

科目:高中数学 来源: 题型:

一个六棱柱的底面是正六边形,其侧棱垂直底面.已知该六棱柱的顶点都在同一个球面上,且该六棱柱的高为
3
,底面周长为3,那么这个球的体积为
 

查看答案和解析>>

科目:高中数学 来源: 题型:

一个六棱柱的底面是正六边形,其侧棱垂直底面.已知该六棱柱的顶点都在同一个球面上,且该六棱柱的体积为
98
,底面周长为3,则这个球的体积为
 

查看答案和解析>>

科目:高中数学 来源: 题型:

(2012•商丘二模)一个六棱柱的底面是正六边形,其侧棱垂直于底面.已知该六棱柱的顶点都在同一个球面上,且该六棱柱的高为
3
,底面周长为3,则这个球的体积为(  )

查看答案和解析>>

科目:高中数学 来源: 题型:

(2012•海口模拟)一个六棱柱的底面是正六边形,其侧棱垂直于底面.已知该六棱柱的顶点都在同一个球面上,且这个球的体积为
3
,已知该六棱柱的高为
3
,则这个六棱柱的体积为
9
8
9
8

查看答案和解析>>

科目:高中数学 来源: 题型:

一个六棱柱的底面是正六边形,其侧棱垂直底面。已知该六棱柱的顶点都在同一个球面上,且该六棱柱的高为,底面周长为3,那么这个球的体积为 _________.

查看答案和解析>>

同步练习册答案