【答案】
分析:法一:(Ⅰ)因为平面SAD⊥平面ABCD,CD⊥AD,且面SAD∩面ABCD=AD,所以CD⊥平面SAD.由此能够证明CD⊥SA.
(Ⅱ)由(Ⅰ)知,CD⊥SA.在△SAD中,SA=SD=a,

,所以SA⊥SD,所以SA⊥平面SDC.所以∠CSD为二面角C-SA-D的平面角.由此能够求出二面角C-SA-D的大小.
法二:(Ⅰ)取BC的中点E,AD的中点P.在△SAD中,SA=SD=a,P为AD的中点,所以,SP⊥AD.又因为平面SAD⊥平面ABCD,且平面SAD∩平面ABCD=AD,所以,SP⊥平面ABCD.PE⊥AD.以PA为x轴,PE为y轴,PS为z轴建立空间直角坐标系,由向量法证明CD⊥SA.
(Ⅱ)设

=(x,y,z)为平面CSA的一个法向量,则

,所以

.

为平面SAD的一个法向量,

=(0,1,0)为平面SAD的一个法向量,由向量法能求出二面角C-SA-D的大小.
解答:
(本小题满分14分)
法一:
证明:(Ⅰ)因为平面SAD⊥平面ABCD,CD⊥AD,且面SAD∩面ABCD=AD,
所以CD⊥平面SAD.
又因为SA?平面SAD
所以CD⊥SA. …(6分)
(Ⅱ)由(Ⅰ)可知,CD⊥SA.
在△SAD中,SA=SD=a,

,
所以SA⊥SD,
所以SA⊥平面SDC.
即SA⊥SD,SA⊥SC,
所以∠CSD为二面角C-SA-D的平面角.
在Rt△CDS中,

,
所以二面角C-SA-D的大小

. …(14分)
法二:
(Ⅰ)取BC的中点E,AD的中点P.
在△SAD中,SA=SD=a,P为AD的中点,所以,SP⊥AD.
又因为平面SAD⊥平面ABCD,且平面SAD∩平面ABCD=AD
所以,SP⊥平面ABCD.显然,有PE⊥AD. …(1分)
如图,以P为坐标原点,PA为x轴,PE为y轴,PS为z轴建立空间直角坐标系,

则

,

,

,

,

. …(3分)
(Ⅰ)易知

因为

,
所以CD⊥SA. …(6分)
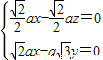
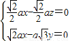
(Ⅱ)设

=(x,y,z)为平面CSA的一个法向量,
则有

,所以

.…(7分)
显然,EP⊥平面SAD,所以

为平面SAD的一个法向量,
所以

=(0,1,0)为平面SAD的一个法向量.…(9分)
所以

,
所以二面角C-SA-D的大小为

. …(14分)
点评:本题考查异面直线垂直的证明,求二面角的大小.解题时要认真审题,仔细解答,注意向量法的合理运用.