精英家教网 > 高中数学 > 题目详情
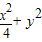
已知椭圆中心在原点,一个焦点为(,0),且长轴长是短轴长的2倍,则该椭圆的标准方程是   
【答案】分析:先根据题意a=2b,c=并且a2=b2+c2求出a,b,c的值,代入标准方程得到答案.
解答:解:根据题意知a=2b,c=
又∵a2=b2+c2
∴a2=4  b2=1
=1
故答案为:∴=1.
点评:本题主要考查椭圆的标准方程,要注意双曲线与椭圆a、b、c三者关系的不同.属基础题.
练习册系列答案
相关习题

科目:高中数学 来源: 题型:

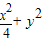
精英家教网如图,已知椭圆中心在原点,F是焦点,A为顶点,准线l交x轴于点B,点P,Q在椭圆上,且PD⊥l于D,QF⊥AO,则①
|PF|
|PD|
;②
|QF|
|BF|
;③
|AO|
|BO|
;④
|AF|
|AB|
;⑤
|FO|
|AO|
,其中比值为椭圆的离心率的有(  )
A、1个B、3个C、4个D、5个

查看答案和解析>>

科目:高中数学 来源: 题型:

已知椭圆中心在原点,焦点在x轴上,右焦点到短轴端点的距离为2,到右顶点的距离为1,求椭圆的方程.

查看答案和解析>>

科目:高中数学 来源: 题型:

已知椭圆中心在原点,焦点在x轴上,离心率e=
2
2
,点F1,F2分别为椭圆的左、右焦点,过右焦点F2且垂直于长轴的弦长为
2

(1)求椭圆的标准方程;
(2)过椭圆的左焦点F1作直线l,交椭圆于P,Q两点,若
F2P
F2Q
=2
,求直线l的倾斜角.

查看答案和解析>>

科目:高中数学 来源: 题型:

(1)已知椭圆中心在原点,焦点在x轴,长轴长为短轴长的3倍,且过点P(3,2),求此椭圆的方程;
(2)求与双曲线
x2
5
-
y2
3
=1
有公共渐近线,且焦距为8的双曲线的方程.

查看答案和解析>>

科目:高中数学 来源: 题型:

如图,已知椭圆中心在原点,F是焦点,A为顶点,准线l交x轴于点B,点P,Q在椭圆上,且PD⊥l于D,QF⊥AO,则椭圆的离心率是①
|PF|
|PD|
;②
|QF|
|BF|
;③
|AO|
|BO|
;④
|AF|
|AB|
;⑤
|FO|
|AO|
,其中正确的是
①②③④⑤
①②③④⑤

查看答案和解析>>

同步练习册答案