精英家教网 > 高中数学 > 题目详情
已知数列﹛an﹜满足:
(Ⅰ)求数列﹛an﹜的通项公式;
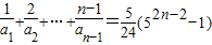
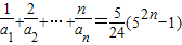
( II)设,求
【答案】分析:(Ⅰ)当n=1时,代入已知可求a1=,当n≥2时由n的任意性可得,与已知中的式子相减可求通项;
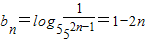
( II)由(Ⅰ)可得bn=1-2n,代入可得,下由裂项相消法可解.
解答:解:(Ⅰ)当n=1时,可得,故a1=
当n≥2时,由①可得
①-②得,所以,经验证n=1时也符合,
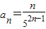
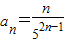
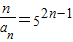
所以数列﹛an﹜的通项公式为:
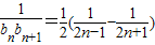
( II),所以bn+1=-1-2n,
所以
因此
=
点评:本题考查数列的通项公式的求解和裂项相消法求和,构造式子相减求出数列的通项公式是解决问题的关键,属中档题.
练习册系列答案
相关习题

科目:高中数学 来源: 题型:

已知数列{an}满足:a1=1且an+1=
3+4an
12-4an
, n∈N*

(1)若数列{bn}满足:bn=
1
an-
1
2
(n∈N*)
,试证明数列bn-1是等比数列;
(2)求数列{anbn}的前n项和Sn
(3)数列{an-bn}是否存在最大项,如果存在求出,若不存在说明理由.

查看答案和解析>>

科目:高中数学 来源: 题型:

已知数列{an}满足
1
2
a1+
1
22
a2+
1
23
a3+…+
1
2n
an=2n+1
则{an}的通项公式
 

查看答案和解析>>

科目:高中数学 来源: 题型:

已知数列{an}满足:a1=
3
2
,且an=
3nan-1
2an-1+n-1
(n≥2,n∈N*).
(1)求数列{an}的通项公式;
(2)证明:对于一切正整数n,不等式a1•a2•…an<2•n!

查看答案和解析>>

科目:高中数学 来源: 题型:

已知数列{an}满足an+1=|an-1|(n∈N*
(1)若a1=
54
,求an
(2)若a1=a∈(k,k+1),(k∈N*),求{an}的前3k项的和S3k(用k,a表示)

查看答案和解析>>

科目:高中数学 来源: 题型:

(2012•北京模拟)已知数列{an}满足an+1=an+2,且a1=1,那么它的通项公式an等于
2n-1
2n-1

查看答案和解析>>

同步练习册答案