精英家教网 > 高中数学 > 题目详情
已知函数在[1,+∞)上为增函数,且θ∈(0,π),,m∈R.
(1)求θ的值;
(2)若f(x)-g(x)在[1,+∞)上为单调函数,求m的取值范围;
(3)设,若在[1,e]上至少存在一个x,使得f(x)-g(x)>h(x)成立,求m的取值范围.
【答案】分析:(1)由题意可知.由θ∈(0,π),知sinθ>0.再由sinθ≥1,结合θ∈(0,π),可以得到θ的值.
(2)由题设条件知.mx2-2x+m≥0或者mx2-2x+m≤0在[1,+∞)恒成立.由此知,由此可知m的取值范围.
(3)构造F(x)=f(x)-g(x)-h(x),.由此入手可以得到m的取值范围是
解答:解:(1)由题意,≥0在[1,+∞)上恒成立,即
∵θ∈(0,π),∴sinθ>0.故sinθ•x-1≥0在[1,+∞)上恒成立,只须sinθ•1-1≥0,
即sinθ≥1,只有sinθ=1.结合θ∈(0,π),得
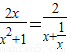
(2)由(1),得f(x)-g(x)=

∵f(x)-g(x)在其定义域内为单调函数,
∴mx2-2x+m≥0或者mx2-2x+m≤0在[1,+∞)恒成立.mx2-2x+m≥0等价于m(1+x2)≥2x,即
,(max=1,∴m≥1.mx2-2x+m≤0等价于m(1+x2)≤2x,即
在[1,+∞)恒成立,而∈(0,1],m≤0.
综上,m的取值范围是(-∞,0]∪[1,+∞).
(3)构造F(x)=f(x)-g(x)-h(x),
当m≤0时,x∈[1,e],
所以在[1,e]上不存在一个x,使得f(x)-g(x)>h(x)成立.
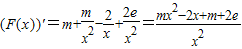
当m>0时,
因为x∈[1,e],所以2e-2x≥0,mx2+m>0,
所以(F(x))'>0在x∈[1,e]恒成立.
故F(x)在[1,e]上单调递增,,只要
解得
故m的取值范围是
点评:本题考查函数的性质和应用,解题时要认真审题,注意挖掘隐含条件,仔细解答.
练习册系列答案
相关习题

科目:高中数学 来源:2014届安徽省高三上学期第一次月考理科数学试卷(解析版) 题型:填空题

已知函数在[-1,+ ∞)上是减函数,则a的取值范围是            

 

查看答案和解析>>

科目:高中数学 来源:2011-2012学年浙江省高三上学期期中理科数学试卷 题型:解答题

已知函数在[1,+∞)上为增函数,且R

(1)求θ的值;

(2)若在[1,+∞)上为单调函数,求m的取值范围;

(3)设,若在[1,e]上至少存在一个,使得成立,求的取值范围.

 

查看答案和解析>>

科目:高中数学 来源:2011-2012学年浙江省杭州市求是高复高三11月月考文科数学 题型:解答题

(本题满分15分)

已知函数在[1,+∞)上为增函数,且

(1)求的值;

(2)若在[1,+∞)上为单调函数,求实数的取值范围;

(3)若在上至少存在一个,使得成立,求实数的取值范围.

 

查看答案和解析>>

科目:高中数学 来源:2010-2011学年甘肃省高三期中考试科数学卷 题型:选择题

已知函数在[1,2]上的值恒为正,则a的取值范围是(    )

A.        B.       C. D.

 

查看答案和解析>>

科目:高中数学 来源:2010-2011学年甘肃省高三期中考试科数学卷 题型:选择题

已知函数在[1,2]上的值恒为正,则a的取值范围是(    )

A.        B.       C. D.

 

查看答案和解析>>

同步练习册答案