精英家教网 > 高中数学 > 题目详情

已知正项数列的前n项和,求的通项公式.

答案:略
解析:

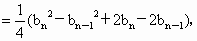
解:当n=1时,

解得

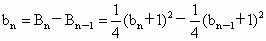
n2时,

整理得

是首项,公差d=2的等差数列.

的通项公式为


练习册系列答案
相关习题

科目:高中数学 来源: 题型:

(12分)已知正项数列{}的前n项和为对任意

都有。(Ⅰ)求数列的通项公式;

(Ⅱ)若是递增数列,求实数m的取值范围。

查看答案和解析>>

科目:高中数学 来源:2014届四川省高一下学期期中理科数学试卷(解析版) 题型:解答题

已知正项数列的前n项和满足:

(1)求数列的通项和前n项和

(2)求数列的前n项和

(3)证明:不等式  对任意的都成立.

【解析】第一问中,由于所以

两式作差,然后得到

从而得到结论

第二问中,利用裂项求和的思想得到结论。

第三问中,

       

结合放缩法得到。

解:(1)∵     ∴

      ∴

      ∴   ∴  ………2分

      又∵正项数列,∴           ∴ 

又n=1时,

   ∴数列是以1为首项,2为公差的等差数列……………3分

                             …………………4分

                   …………………5分 

(2)       …………………6分

    ∴

                          …………………9分

(3)

      …………………12分

        

   ∴不等式  对任意的都成立.

 

查看答案和解析>>

科目:高中数学 来源:2011-2012学年新疆乌鲁木齐市高三第三次月考理科数学 题型:解答题

( 12分)已知正项数列的前n项和满足

(1)求数列的通项公式;

(2)设是数列的前n项的和,求证:

 

查看答案和解析>>

科目:高中数学 来源:0103 月考题 题型:解答题

已知正项数列的前n项和满足:;设,求数列的前n项和的最大值。

查看答案和解析>>

科目:高中数学 来源: 题型:

已知正项数列的前n项和为,且4,成等比数列,向量a=(-1,1),b=(1,1),点满足

    (1)求数列的通项公式。

   (2)试判断点是否共线,并说明理由。

查看答案和解析>>

同步练习册答案