精英家教网 > 高中数学 > 题目详情

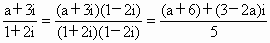
(杭州学军中学模拟)若复数(i为虚数单位)是纯虚数,则实数a的值为

[  ]

A.-2

B4

C.-6

D6

答案:C
解析:

,则根据题意得a6=032a0a=6,故选C


练习册系列答案
相关习题

科目:高中数学 来源: 题型:013

(杭州学军中学模拟)已知函数y=f(x)是定义在R上的奇函数,且f(2)=0,对任意的xR,都有f(x4)=f(x)f(4)成立,则f(2006)的值为

[  ]

A4012

B2006

C2008

D0

查看答案和解析>>

科目:高中数学 来源: 题型:013

(杭州学军中学模拟)n为正整数,则等于

[  ]

A2005

B2006

C1002

D1003

查看答案和解析>>

科目:高中数学 来源: 题型:022

(杭州学军中学模拟)已知函数数列满足:,则该数列的通项公式________

查看答案和解析>>

科目:高中数学 来源: 题型:013

(杭州学军中学模拟)若互不相等的实数abc成等差数列,cab成等比数列,且a3bc=10,则a的值为

[  ]

A4

B2

C.-2

D.-4

查看答案和解析>>

科目:高中数学 来源: 题型:013

(杭州学军中学模拟)设随机变量ξ服从正态分布N(01),若P(ξ>1)=p,则P(1<ξ<0)等于

[  ]

A

B1p

C12p

D

查看答案和解析>>

同步练习册答案