精英家教网 > 高中数学 > 题目详情
已知抛物线y=ax2(a≠0)的准线方程为y=-1,
(Ⅰ)求抛物线的方程;
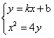
(Ⅱ)设F是抛物线的焦点,直线l:y=kx+b(k≠0)与抛物线交于A,B两点,记直线AF,BF的斜率之和为m,求常数m,使得对于任意的实数k(k≠0),直线l恒过定点,并求出该定点的坐标。
解:(Ⅰ)∵

∴抛物线C的准线方程为:,    
,解得
∴抛物线C的方程是。            
(Ⅱ)F(0,1),
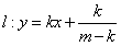
设A,B
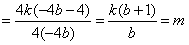
,得
,  

,       

∴直线
对任意的k(k≠0)恒成立, 
,解得
所以,m=0,直线l过定点(0,-1)。
练习册系列答案
相关习题

科目:高中数学 来源: 题型:

已知抛物线y=ax2-1上存在关于直线x+y=0成轴对称的两点,试求实数a的取值范围.

查看答案和解析>>

科目:高中数学 来源: 题型:

已知抛物线y=ax2-1的焦点是坐标原点,则以抛物线与两坐标轴的三个交点为顶点的三角形面积为
 

查看答案和解析>>

科目:高中数学 来源: 题型:

已知抛物线y=ax2(a∈R)的准线方程为y=-1,则a=
 

查看答案和解析>>

科目:高中数学 来源: 题型:

已知抛物线y=ax2+bx+c与直线y=-bx交于A、B两点,其中a>b>c,a+b+c=0,设线段AB在x轴上的射影为A1B1,则|A1B1|的取值范围是(  )
A、(
3
,   2
3
)
B、(
3
,   +∞)
C、(0,   
3
)
D、(2,   2
3
)

查看答案和解析>>

科目:高中数学 来源: 题型:

(2013•牡丹江一模)已知抛物线y=ax2的准线方程为y=-2,则实数a的值为
1
8
1
8

查看答案和解析>>

同步练习册答案