精英家教网 > 高中数学 > 题目详情
已知函数
(1)当a>0时,写出函数的单调递减区间;
(2)设,f(x)的最小值是-2,最大值是,求实数a,b的值.
【答案】分析:(1)已知等式左边提取2变形后,利用两角和与差的正弦函数公式化为一个角的正弦函数,求出正弦函数的单调递减区间;
(2)把函数的最小值和最大值代入,列出方程组求解即可.
解答:(1)

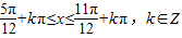
因为a>0,则由

则函数的单调递减区间为
(2)当时,

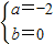
①当a>0时
则有解得
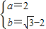
②当a<0时
则有解得
点评:此题考查了两角和与差的正弦函数公式,熟练掌握公式是解本题的关键.
练习册系列答案
相关习题

科目:高中数学 来源:2015届陕西省高一上学期期中考试数学试卷(解析版) 题型:解答题

(14分)已知函数

(1) 当a= -1时,求函数的最大值和最小值;

(2) 求实数a的取值范围,使y=f(x)在区间上是单调函数

(3) 求函数f(x)的最小值g(a),并求g(a)的最大值.

 

查看答案和解析>>

科目:高中数学 来源:2011-2012学年浙江省金华十校高三上学期期末考试文科数学(解析版) 题型:解答题

(本小题满分15分)

已知函数

(1)当a=1时,求函数在点(1,-2)处的切线方程;

(2)若函数上的图象与直线总有两个不同交点,求实数a的取值范围。

 

查看答案和解析>>

科目:高中数学 来源:2011-2012学年广东省高三第一次模拟考试文科数学 题型:解答题

(本小题满分14分)

已知函数

(1)当a=1时,求在区间[1,e]上的最大值和最小值;

(2)若在区间上,函数的图象恒在直线下方,求a的取值范围。

 

查看答案和解析>>

科目:高中数学 来源:2010届江西省高三年级数学热身卷(文科) 题型:解答题

(12分)已知函数

(1)当a=-1时,求函数f(x)的单调区间;

(2)若函数的图象与直线y=ax只有一个公共点,求实数b的取值范围。

 

查看答案和解析>>

科目:高中数学 来源:2010届江西省高三年级数学热身卷(文科) 题型:解答题

(12分)已知函数

(1)当a=-1时,求函数f(x)的单调区间;

(2)若函数的图象与直线y=ax只有一个公共点,求实数b的取值范围。

 

查看答案和解析>>

同步练习册答案