精英家教网 > 高中数学 > 题目详情
如图,公园有一块边长为2的等边△ABC的边角地,现修成草坪,图中DE把草坪分成面积相等的两部分,D在AB上,E在AC上.
(1)设AD=x,ED=y,求用x表示y的函数关系式;
(2)如果DE是灌溉水管,为节约成本,希望它最短,DE的位置应在哪里?请说明理由.
【答案】分析:(1)在△ADE中,由余弦定理可得x,y,AE之间的关系,然后由S△ADE=S△ABC,结合面积公式可求x与AE的关系,从而可求
(2)由题意可得y=,利用基本不等式可求函数的最小值
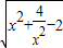
解答:解:(1)在△ADE中,y2=x2+AE2-2x•AE•cos60°⇒y2=x2+AE2-x•AE,①…(2分)
.②…(4分)
②代入①得),
∴y=(0x≤2)…(8分)
(2)如果DE是水管y=,…(12分)
当且仅当x2=,即x=时“=”成立,…(13分)
故DE∥BC且AD=时水管的长度最短(15分)
点评:本题主要考查了余弦定理,三角形的面积公式在求解三角形中的应用,及基本不等式在函数的最值求解中的应用,计算虽然简单,但是考查的内容具有较强的综合性
练习册系列答案
相关习题

科目:高中数学 来源: 题型:

精英家教网如图,公园有一块边长为2的等边△ABC的边角地,现修成草坪,图中DE把草坪分成面积相等的两部分,D在AB上,E在AC上.
(1)设AD=x(x≥0),ED=y,求用x表示y的函数关系式;
(2)如果DE是灌溉水管,为节约成本,希望它最短,DE的位置应在哪里?如果DE是参观线路,则希望它最长,DE的位置又应在哪里?请予证明.

查看答案和解析>>

科目:高中数学 来源: 题型:

如图,公园有一块边长为2的等边△ABC的边角地,现修成草坪,图中DE把草坪分成面积相等的两部分,D在AB上,E在AC上.
(1)设AD=x,ED=y,求用x表示y的函数关系式;
(2)如果DE是灌溉水管,为节约成本,希望它最短,DE的位置应在哪里?请说明理由.

查看答案和解析>>

科目:高中数学 来源:2012-2013学年四川省成都市双流县棠湖中学外语实验学校高一(下)5月月考数学试卷(解析版) 题型:解答题

如图,公园有一块边长为2的等边△ABC的边角地,现修成草坪,图中DE把草坪分成面积相等的两部分,D在AB上,E在AC上.
(1)设AD=x(x≥0),ED=y,求用x表示y的函数关系式;
(2)如果DE是灌溉水管,为节约成本,希望它最短,DE的位置应在哪里?如果DE是参观线路,则希望它最长,DE的位置又应在哪里?请予证明.

查看答案和解析>>

科目:高中数学 来源:2011-2012学年山东省潍坊市诸城一中高三(上)10月段考数学试卷(解析版) 题型:解答题

如图,公园有一块边长为2的等边△ABC的边角地,现修成草坪,图中DE把草坪分成面积相等的两部分,D在AB上,E在AC上.
(1)设AD=x(x≥0),ED=y,求用x表示y的函数关系式;
(2)如果DE是灌溉水管,为节约成本,希望它最短,DE的位置应在哪里?如果DE是参观线路,则希望它最长,DE的位置又应在哪里?请予证明.

查看答案和解析>>

科目:高中数学 来源:2011-2012学年山东省高三第一次月考理科数学试卷 题型:解答题

如图,公园有一块边长为2的等边△ABC的边角地,现修成草坪,图中DE把草坪分成面积相等的两部分,D在AB上,E在AC上.(Ⅰ)设AD=x(x0),ED=y,求用x表示y的函数关系式,并注明函数的定义域;

(Ⅱ)如果DE是灌溉水管,为节约成本,希望它最短,DE的位置应在哪里?

如果DE是参观线路,则希望它最长,DE的位置又应在哪里?

 

 

请给予证明.

 

查看答案和解析>>

同步练习册答案