精英家教网 > 高中数学 > 题目详情
已知椭圆(a>b>0),A、B是椭圆上的两点,线段AB的垂直平分线与x轴相交于点P(x,0).证明
【答案】分析:设A、B的坐标分别为(x1,y1)和(x2,y2).因线段AB的垂直平分线与x轴相交,故AB不平行于y轴,即x1≠x2.又交点为P(x,0),故|PA|=|PB|.把点P坐标代入,同时把A、B代入椭圆方程,最后联立方程即可得到x关于x1和x2的关系式,最后根据x1和x2的范围确定x的范围.
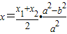
解答:证明:设A、B的坐标分别为(x1,y1)和(x2,y2).因线段AB的垂直平分线与x轴相交,故AB不平行于y轴,即x1≠x2.又交点为P(x,0),故|PA|=|PB|,即
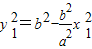
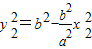
(x1-x2+y12=(x2-x2+y22
∵A、B在椭圆上,

将上式代入①,得
2(x2-x1)x=
∵x1≠x2,可得.③
∵-a≤x1≤a,-a≤x2≤a,且x1≠x2
∴-2a<x1+x2<2a,

点评:本小题考查椭圆性质、直线方程等知识,以及综合分析能力.
练习册系列答案
相关习题

科目:高中数学 来源: 题型:

已知椭圆=1(a>b>0)与双曲线=1(m>0,n>0)有相同的焦点(-c,0)和(c,0),若c是a、m的等比中项,n2是2m2与c2的等差中项,则椭圆的离心率是(    )

A.                    B.               C.                 D.

查看答案和解析>>

科目:高中数学 来源:2014届广东省、阳东一中高二上联考文数试卷(解析版) 题型:解答题

(本题满分14分)

如图,已知椭圆=1(ab>0),F1F2分别为椭圆的左、右焦点,A为椭圆的上的顶点,直线AF2交椭圆于另 一点B.

(1)若∠F1AB=90°,求椭圆的离心率;

(2)若=2·,求椭圆的方程.

 

查看答案和解析>>

科目:高中数学 来源:2012年全国普通高等学校招生统一考试文科数学(天津卷解析版) 题型:解答题

已知椭圆(a>b>0),点在椭圆上。

(I)求椭圆的离心率。

(II)设A为椭圆的右顶点,O为坐标原点,若Q在椭圆上且满足|AQ|=|AO|,求直线OQ的斜率的值。

【考点定位】本小题主要考查椭圆的标准方程和几何性质、直线的方程、平面内两点间距离公式等基础知识. 考查用代数方法研究圆锥曲线的性质,以及数形结合的数学思想方法.考查运算求解能力、综合分析和解决问题的能力.

 

查看答案和解析>>

科目:高中数学 来源:2010-2011学年湖北省天门市高三天5月模拟文科数学试题 题型:解答题

已知椭圆(a>b>0)的焦距为4,且与椭圆有相同的离心率,斜率为k的直线l经过点M(0,1),与椭圆C交于不同两点A、B.

   (1)求椭圆C的标准方程;

   (2)当椭圆C的右焦点F在以AB为直径的圆内时,求k的取值范围.

 

查看答案和解析>>

科目:高中数学 来源:2010年河北省邯郸市高二上学期期末考试数学理卷 题型:解答题

(本小题满分分)

(普通高中)已知椭圆(a>b>0)的离心率,焦距是函数的零点.

(1)求椭圆的方程;

(2)若直线与椭圆交于两点,,求k的值.

 

查看答案和解析>>

同步练习册答案