精英家教网 > 高中数学 > 题目详情

求函数的值域.

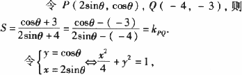
答案:
解析:

所考知识点为函数值域,椭圆参数方程.


提示:

无论哪一门学科,只要所研究的问题是揭示常见平面图形的数量关系,或所研究的数量关系能为常见的平面图形的几何性质相关联,也就是说可以进行“数形结合”,就应考虑能否应用解析法.


练习册系列答案
相关习题

科目:高中数学 来源: 题型:

16、已知函数y=-x2+4x-2
(1)若x∈[0,5],求该函数的单调增区间;
(2)若x∈[0,3],求该函数的最大值.最小值;
(3)若x∈(3,5),求函数的值域.

查看答案和解析>>

科目:高中数学 来源: 题型:

已知函数f(x)=
-x(-1≤x<0)
x2(0≤x<1)
x(1≤x≤2)

(1)求f(-
2
3
),f(
3
2
)

(2)做出函数的简图.
(3)求函数的值域.

查看答案和解析>>

科目:高中数学 来源: 题型:

(文) (本小题满分12分已知函数y=4-2
3
sinx•cosx-2sin2x(x∈R)

(1)求函数的值域和最小正周期;
(2)求函数的递减区间.

查看答案和解析>>

科目:高中数学 来源: 题型:

函数y=Asin(ωx+?)(ω>0,|?|<
π2
,x∈R)
的部分图象如图所示,
(1)求函数的最小正周期;(2)求函数解析式;(3)当x∈(-2,8)时,求函数的值域.

查看答案和解析>>

科目:高中数学 来源: 题型:

对于函数f(x)=log3(x2-2ax+3)
(1)若a=0,求函数的值域;
(2)若该函数的定义域为R,求实数a的取值范围;
(3)若该函数的定义域为(-∞,1)∪(3,+∞),求实数a的值;
(4)若该函数的值域为R,求实数a的取值范围.

查看答案和解析>>

同步练习册答案