精英家教网 > 高中数学 > 题目详情

如图,已知椭圆C:+y2=1(a>1)的上顶点为A,离心率为,若不过点A的动直线l与椭圆C相交于P、Q两点,且·=0.

(Ⅰ)求椭圆C的方程;

(Ⅱ)求证:直线l过定点,并求出该定点N的坐标.

答案:
解析:

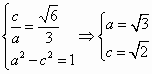
  解:(Ⅰ)依题意有

  故椭圆的方程为;4分

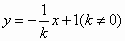
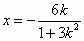
  (Ⅱ)(解法1)由,从而直线与坐标轴不垂直,

  由可设直线的方程为

  直线的方程为

  将代入椭圆的方程并整理得:

  解得,因此的坐标为

  即;6分

  将上式中的换成,得.7分

  直线的方程为

  化简得直线l的方程为,10分

  因此直线l过定点.12分

  


练习册系列答案
相关习题

科目:高中数学 来源: 题型:

精英家教网如图,已知椭圆C:
x2
a2
+
y2
b2
=1(a>b>0)的焦点和上顶点分别为F1、F2、B,我们称△F1BF2为椭圆C的特征三角形.如果两个椭圆的特征三角形是相似的,则称这两个椭圆是“相似椭圆”,且三角形的相似比即为椭圆的相似比.
(1)已知椭圆C1
x2
4
+y2=1和C2
x2
16
+
y2
4
=1,判断C2与C1是否相似,如果相似则求出C2与C1的相似比,若不相似请说明理由;
(2)已知直线l:y=x+1,在椭圆Cb上是否存在两点M、N关于直线l对称,若存在,则求出函数f(b)=|MN|的解析式.

查看答案和解析>>

科目:高中数学 来源: 题型:

如图,已知椭圆C:
x2
b2
+
y2
a2
=1(a>b>0)
的左、右焦点分别为F1(0,c)、F2(0,-c)(c>0),抛物线P:x2=2py(p>0)的焦点与F1重合,过F2的直线l与抛物线P相切,切点E在第一象限,与椭圆C相交于A、B两点,且
F2B
=λ
AF2

(1)求证:切线l的斜率为定值;
(2)若动点T满足:
ET
=μ(
EF1
+
EF2
),μ∈(0,
1
2
)
,且
ET
OT
的最小值为-
5
4
,求抛物线P的方程;
(3)当λ∈[2,4]时,求椭圆离心率e的取值范围.

查看答案和解析>>

科目:高中数学 来源: 题型:

如图,已知椭圆C:
x2
a2
+
y2
b2
=1(a>b>0)的离心率e=
3
2
,F1、F2分别为椭圆C的左、右焦点,A(0,b),且
F1A
F2A
=-2过左焦点F1作直线l交椭圆于P1、P2两点.
(1)求椭圆C的方程;
(2)若直线l的倾斜角a∈[
π
3
3
],直线OP1,OP2与直线x=-
4
3
3
分别交于点S、T,求|ST|的取值范围.

查看答案和解析>>

科目:高中数学 来源: 题型:

如图,已知椭圆C:
x2
a2
+
y2
b2
=1(a>b>0)
的焦点为F1(1,0)、F2(-1,0),离心率为
2
2
,过点A(2,0)的直线l交椭圆C于M、N两点.
(1)求椭圆C的方程;
(2)①求直线l的斜率k的取值范围;
②在直线l的斜率k不断变化过程中,探究∠MF1A和∠NF1F2是否总相等?若相等,请给出证明,若不相等,说明理由.

查看答案和解析>>

科目:高中数学 来源: 题型:

(2012•梅州一模)如图,已知椭圆C:
x2
a2
+y2=1(a>1)的上顶点为A,右焦点为F,直线AF与圆M:x2+y2-6x-2y+7=0相切.
(Ⅰ)求椭圆C的方程;
(Ⅱ)不过点A的动直线l与椭圆C相交于PQ两点,且
AP
AQ
=0.求证:直线l过定点,并求出该定点的坐标.

查看答案和解析>>

同步练习册答案