精英家教网 > 高中数学 > 题目详情
在平面直角坐标系xOy中,点A(-1,-2)、B(2,3)、C(-2,-1).
(1)求以线段AB、AC为邻边的平行四边形两条对角线的长;
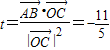
(2)设实数t满足()•=0,求t的值.
【答案】分析:(1)(方法一)由题设知,则
从而得:
(方法二)设该平行四边形的第四个顶点为D,两条对角线的交点为E,则:
由E是AC,BD的中点,易得D(1,4)
从而得:BC=、AD=
(2)由题设知:=(-2,-1),
由()•=0,得:(3+2t,5+t)•(-2,-1)=0,
从而得:
或者由,得:
解答:解:(1)(方法一)由题设知,则
所以
故所求的两条对角线的长分别为
(方法二)设该平行四边形的第四个顶点为D,两条对角线的交点为E,则:
E为B、C的中点,E(0,1)
又E(0,1)为A、D的中点,所以D(1,4)
故所求的两条对角线的长分别为BC=、AD=
(2)由题设知:=(-2,-1),
由()•=0,得:(3+2t,5+t)•(-2,-1)=0,
从而5t=-11,所以
或者:
点评:本题考查平面向量的几何意义、线性运算、数量积,考查向量的坐标运算和基本的求解能力.
练习册系列答案
相关习题

科目:高中数学 来源: 题型:

在平面直角坐标系xoy中,已知圆心在直线y=x+4上,半径为2
2
的圆C经过坐标原点O,椭圆
x2
a2
+
y2
9
=1(a>0)
与圆C的一个交点到椭圆两焦点的距离之和为10.
(1)求圆C的方程;
(2)若F为椭圆的右焦点,点P在圆C上,且满足PF=4,求点P的坐标.

查看答案和解析>>

科目:高中数学 来源: 题型:

如图,在平面直角坐标系xOy中,锐角α和钝角β的终边分别与单位圆交于A,B两点.若点A的横坐标是
3
5
,点B的纵坐标是
12
13
,则sin(α+β)的值是
16
65
16
65

查看答案和解析>>

科目:高中数学 来源: 题型:

在平面直角坐标系xOy中,若焦点在x轴的椭圆
x2
m
+
y2
3
=1
的离心率为
1
2
,则m的值为
4
4

查看答案和解析>>

科目:高中数学 来源: 题型:

(2013•泰州三模)选修4-4:坐标系与参数方程
在平面直角坐标系xOy中,已知A(0,1),B(0,-1),C(t,0),D(
3t
,0)
,其中t≠0.设直线AC与BD的交点为P,求动点P的轨迹的参数方程(以t为参数)及普通方程.

查看答案和解析>>

科目:高中数学 来源: 题型:

(2013•东莞一模)在平面直角坐标系xOy中,已知椭圆C:
x2
a2
+
y2
b2
=1(a>b>0)
的左焦点为F1(-1,0),且椭圆C的离心率e=
1
2

(1)求椭圆C的方程;
(2)设椭圆C的上下顶点分别为A1,A2,Q是椭圆C上异于A1,A2的任一点,直线QA1,QA2分别交x轴于点S,T,证明:|OS|•|OT|为定值,并求出该定值;
(3)在椭圆C上,是否存在点M(m,n),使得直线l:mx+ny=2与圆O:x2+y2=
16
7
相交于不同的两点A、B,且△OAB的面积最大?若存在,求出点M的坐标及对应的△OAB的面积;若不存在,请说明理由.

查看答案和解析>>

同步练习册答案