精英家教网 > 高中数学 > 题目详情
已知O为坐标原点,
(1)求y=f(x)的单调递增区间;
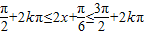
(2)若f(x)的定义域为,值域为[2,5],求m的值.
【答案】分析:(Ⅰ)先用向量的数量积得到再用倍角公式得到y=再用辅助角法化为y=(k∈Z)求单调区间.
(Ⅱ)用整体思想,由x的范围,得到,解得f(x)的值域.
解答:解:(Ⅰ)
==
(k∈Z)
得y=f(x)的单调递增区间为(k∈Z)
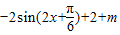
(Ⅱ)当时,

∴1+m≤f(x)≤4+m,

点评:本题主要考查向量的数量积,三角函数的倍角公式及辅助角法以及求单调区间及值域等问题,本题的关键是整体思想的应用.
练习册系列答案
相关习题

科目:高中数学 来源: 题型:

已知O为坐标原点,点A(2,1),点P在区域
y≤x
x+y≥2
y>3x-6
内运动,则
OA
OP
的取值范围为
 

查看答案和解析>>

科目:高中数学 来源: 题型:

已知O为坐标原点,M(cosx,2
3
),N(2cosx,sinxcosx+
3
6
a)
其中x∈R,a为常数,
设函数f(x)=
OM
ON

(Ⅰ)求函数y=f(x)的表达式和对称轴方程;
(Ⅱ)若角C为△ABC的三个内角中的最大角,且y=f(C)的最小值为0,求a的值.

查看答案和解析>>

科目:高中数学 来源: 题型:

已知O为坐标原点,点M(3,2),若N(x,y)满足不等式组
x≥1
y≥0
x+y≤4
,则
OM
ON
 的最大值为
 

查看答案和解析>>

科目:高中数学 来源: 题型:

已知O为坐标原点,A,B两点的坐标均满足不等式组
x-3y+1≤0
x+y-3≤0
x-1≥0
,则tan∠AOB的最大值等于(  )

查看答案和解析>>

科目:高中数学 来源: 题型:

已知O为坐标原点,M(cosx,2
3
),N(2cosx,sinxcosx+
3
6
a)
其中x∈R,a为常数,设函数f(x)=
OM
ON

(1)求函数y=f(x)的表达式;
(2)若角C∈[
π
3
,π)
且y=f(C)的最小值为0,求a的值;
(3)在(2)的条件下,试画出y=f(x)(x∈[0,π])的简图.

查看答案和解析>>

同步练习册答案