精英家教网 > 高中数学 > 题目详情
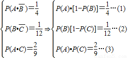
甲、乙、丙三台机床各自独立地加工同一种零件,已知甲机床加工的零件是一等品而乙机床加工的零件不是一等品的概率为,乙机床加工的零件是一等品而丙机床加工的零件不是一等品的概率为,甲、丙两台机床加工的零件都是一等品的概率为
(Ⅰ)分别求甲、乙、丙三台机床各自加工的零件是一等品的概率;
(Ⅱ)若让每台机床各自加工2个零件(共计6个零件),求恰好有3个零件是一等品的概率.
【答案】分析:(I)利用甲机床加工的零件是一等品而乙机床加工的零件不是一等品的概率为,乙机床加工的零件是一等品而丙机床加工的零件不是一等品的概率为,甲、丙两台机床加工的零件都是一等品的概率为,建立方程组,求出甲、乙、丙三台机床各自加工的零件是一等品的概率,即可求甲、乙、丙三台机床各自加工的零件是一等品的概率;
(Ⅱ)分类讨论求概率,即可求恰好有3个零件是一等品的概率.
解答:解:(Ⅰ)设“甲、乙、丙三台机床各自加工的零件是一等品”分别为A、B、C事件,则A、B、C相互独立,则…..(1分).…(3分)
(Ⅱ)(1)设甲有0个一等品的概率为P1,则…(2分)
(2)设甲有1个一等品的概率为P2,则…(2分)
(3)设甲有2个一等品的概率为P3,则…(2分)
所以,所求事件“恰好有三个零件是一等品”的概率为…(1分)
点评:本题考查概率的计算,考查分类讨论的数学思想,考查学生的计算能力,属于中档题.
练习册系列答案
相关习题

科目:高中数学 来源: 题型:

甲、乙、丙三台机床各自独立地加工同一种零件,已知甲机床加工的零件是一等品而乙机床加工的零件不是一等品的概率为
1
4
,乙机床加工的零件是一等品而丙机床加工的零件不是一等品的概率为
1
12
,甲、丙两台机床加工的零件都是一等品的概率为
2
9

(Ⅰ)分别求甲、乙、丙三台机床各自加工零件是一等品的概率;
(Ⅱ)从甲、乙、丙加工的零件中各取一个检验,求至少有一个一等品的概率.

查看答案和解析>>

科目:高中数学 来源: 题型:

甲、乙、丙三台机床各自独立的加工同一种零件,已知甲、乙、丙三台机床加工的零件是一等品的概率分别为0.7、0.6、0.8,乙、丙两台机床加工的零件数相等,甲机床加工的零件数是乙机床加工的零件数的二倍.?
(1)从甲、乙、丙加工的零件中各取一件检验,求至少有一件一等品的概率;?
(2)将三台机床加工的零件混合到一起,从中任意的抽取一件检验,求它是一等品的概率;
(3)将三台机床加工的零件混合到一起,从中任意的抽取4件检验,其中一等品的个数记为X,求EX.

查看答案和解析>>

科目:高中数学 来源: 题型:

甲、乙、丙三台机床各自独立的加工同一种零件,已知甲、乙、丙三台机床加工的零件是一等品的概率分别为0.7、0.6、0.8,乙、丙两台机床加工的零件数相等,甲机床加工的零件数是乙机床加工的零件数的二倍.?
(1)从甲、乙、丙加工的零件中各取一件检验,求至少有一件一等品的概率;?
(2)将三台机床加工的零件混合到一起,从中任意的抽取一件检验,求它是一等品的概率;
(3)将三台机床加工的零件混合到一起,从中任意的抽取4件检验,求一等品的个数不少于3个的概率.

查看答案和解析>>

科目:高中数学 来源: 题型:

(04年湖南卷)(12分)

甲、乙、丙三台机床各自独立地加工同一种零件,已知甲机床加工的零件是一等品而乙机床加工的零件不是一等品的概率为,乙机床加工的零件是一等品而丙机床加工的零件不是一等品的概率为,甲、乙两台机床加工的零件是一等品的概率为

(Ⅰ)分别求甲、乙、丙三台机床各自加工的零件是一等品的概率;

(Ⅱ)从甲、乙、丙加工的零件中各取一个检验,求至少有一个一等品的概率。

查看答案和解析>>

科目:高中数学 来源: 题型:

甲、乙、丙三台机床各自独立地加工同一种零件,已知甲机床加工的零件是一等品而乙机床加工的零件不是一等品的概率为,乙机床加工的零件是一等品而丙机床加工的零件不是一等品的概率为,甲、丙两台机床加工的零件是一等品的概率为

     (1)分别求甲、乙、丙三台各自加工的零件是一等品的概率;

     (2)从甲、乙、丙加工的零件中各取一个检验,求至少有一个一等品的概率。

查看答案和解析>>

同步练习册答案