精英家教网 > 高中数学 > 题目详情
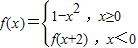
定义在R上的函数f(x)满足,则f(-3)=   
【答案】分析:本题函数是一个分段函数,注意x<0时的解析式的特征,此类函数的求值要注意根据自变量的取值范围的、选择相应的解析式
解答:解:∵定义在R上的函数f(x)满足
∴f(-3)=f(-1)=f(1)=1-12=0
故答案为0
点评:本题考查求函数的值,解答本题关键是选择对应的解析式,代入求值.
练习册系列答案
相关习题

科目:高中数学 来源: 题型:

定义在R上的函数f(x)既是偶函数又是周期函数,若f(x)的最小正周期是π,且当x∈[0,
π
2
]时,f(x)=sinx,则f(
3
)的值为
 

查看答案和解析>>

科目:高中数学 来源: 题型:

20、已知定义在R上的函数f(x)=-2x3+bx2+cx(b,c∈R),函数F(x)=f(x)-3x2是奇函数,函数f(x)在x=-1处取极值.
(1)求f(x)的解析式;
(2)讨论f(x)在区间[-3,3]上的单调性.

查看答案和解析>>

科目:高中数学 来源: 题型:

定义在R上的函数f(x)满足:f(x+2)=
1-f(x)1+f(x)
,当x∈(0,4)时,f(x)=x2-1,则f(2010)=
 

查看答案和解析>>

科目:高中数学 来源: 题型:

已知定义在R上的函数f(x)=Acos(ωx+φ)(A>0,ω>0,|φ|≤
π
2
),最大值与最小值的差为4,相邻两个最低点之间距离为π,函数y=sin(2x+
π
3
)图象所有对称中心都在f(x)图象的对称轴上.
(1)求f(x)的表达式;    
(2)若f(
x0
2
)=
3
2
(x0∈[-
π
2
π
2
]),求cos(x0-
π
3
)的值.

查看答案和解析>>

科目:高中数学 来源: 题型:

已知定义在R上的函数f(x)的图象是连续不断的,且有如下对应值表:
x 0 1 2 3
f(x) 3.1 0.1 -0.9 -3
那么函数f(x)一定存在零点的区间是(  )

查看答案和解析>>

同步练习册答案