精英家教网 > 高中数学 > 题目详情
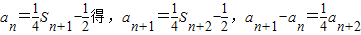
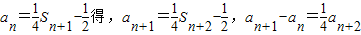
已知数列{an}的前n项和为Sn,a1=1,an=
(I)求a2,a3
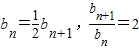
(Ⅱ)设bn=,证明数列{bn}是等比数列,并求出其通项;
(Ⅲ)设cn=,求数列{cn}的前n项和Tn
【答案】分析:(I)在an=.中依次令n=1,n=2,求得a2,a3
(Ⅱ)由,构造得出数列{bn}是公比为2的等比数列
(Ⅲ)由(II),得出.,

解答:解:(I)Sn+1=4an+2,当n=1时,a1+a2=4a1+2,a2=5;(1分)
当n=2时,a1+a2+a3=4a2+2,6+a3=22,a3=16;(2分)
(II)由

∴数列{bn}是公比为2的等比数列.(4分)

(5分)
(III)由(II)

.(7分)


(8分)
点评:本题考查等差数列的判定、通项公式求解.考查变形构造、转化、计算能力.
练习册系列答案
相关习题

科目:高中数学 来源: 题型:

19、已知数列{an}的前n项和Sn=n2(n∈N*),数列{bn}为等比数列,且满足b1=a1,2b3=b4
(1)求数列{an},{bn}的通项公式;
(2)求数列{anbn}的前n项和.

查看答案和解析>>

科目:高中数学 来源: 题型:

已知数列{an}的前n项和Sn=an2+bn(a、b∈R),且S25=100,则a12+a14等于(  )
A、16B、8C、4D、不确定

查看答案和解析>>

科目:高中数学 来源: 题型:

已知数列{an}的前n项和Sn=n2+n+1,那么它的通项公式为an=
 

查看答案和解析>>

科目:高中数学 来源: 题型:

13、已知数列{an}的前n项和为Sn=3n+a,若{an}为等比数列,则实数a的值为
-1

查看答案和解析>>

科目:高中数学 来源: 题型:

已知数列{an}的前n项和Sn满足Sn+1=kSn+2,又a1=2,a2=1.
(1)求k的值及通项公式an
(2)求Sn

查看答案和解析>>

同步练习册答案