精英家教网 > 高中数学 > 题目详情
设定义在R上的函数f(x)满足f(x)•f(x+2)=13,若f(1)=2,则f(99)=( )
A.13
B.2
C.
D.
【答案】分析:根据f(1)=2,f(x)•f(x+2)=13先求出f(3)=,再由f(3)求出f(5),依次求出f(7)、f(9)观察规律可求出f(x)的解析式,最终得到答案.
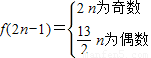
解答:解:∵f(x)•f(x+2)=13且f(1)=2



故选C.
点评:此题重点考查递推关系下的函数求值;此类题的解决方法一般是求出函数解析式后代值,或者得到函数的周期性求解.
练习册系列答案
相关习题

科目:高中数学 来源: 题型:

设定义在R上的函数f(x)=
1
x-2
(x>2)
1
2-x
(x<2)
1(x=2)
,若关于x的方程f2(x)+af(x)+b=3有且只有3个不同实数解x1、x2、x3,且x1<x2<x3,则x12+x22+x32=
 

查看答案和解析>>

科目:高中数学 来源: 题型:

设定义在R上的函数f(x)满足f(x)•f(x+2)=3,若f(1)=2,则f(5)=
2
2
;f(2011)=
3
2
3
2

查看答案和解析>>

科目:高中数学 来源: 题型:

(2013•顺义区二模)设定义在R上的函数f(x)是最小正周期为2π的偶函数,f′(x)是f(x)的导函数.当x∈[0,π]时,0<f(x)<1;当x∈(0,π)且x≠
π
2
时,(x-
π
2
)f′(x)<0
.则函数y=f(x)-cosx在[-3π,3π]上的零点个数为
6
6

查看答案和解析>>

科目:高中数学 来源: 题型:

设定义在R上的函数f(x)满足f(x+π)=f(x-π),f(
π
2
-x
)=f(
π
2
+x
),当x∈[-
π
2
π
2
]
时,0<f(x)<1;当x∈(-
π
2
π
2
)
且x≠0时,x•f′(x)<0,则y=f(x)与y=cosx的图象在[-2π,2π]上的交点个数是(  )

查看答案和解析>>

科目:高中数学 来源: 题型:

设定义在R上的函数f(x)同时满足以下条件:①f(x+1)=-f(x)对任意的x都成立;②当x∈[0,1]时,f(x)=ex-e•cos
πx
2
+m(其中e=2.71828…是自然对数的底数,m是常数).记f(x)在区间[2013,2016]上的零点个数为n,则(  )
A、m=-
1
2
,n=6
B、m=1-e,n=5
C、m=-
1
2
,n=3
D、m=e-1,n=4

查看答案和解析>>

同步练习册答案