精英家教网 > 高中数学 > 题目详情
若a<b<0,则( )
A.
B.
C.ab>b2
D.
【答案】分析:用不等式的性质和特殊值法可依次验证每个选项
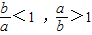
解答:解:对于A:当a=-2,b=-1时,显然不成立,∴A错误
对于B:∵a<b<0,∴|a|>|b|>0∴,∴B错误
对于C:由已知条件知a<b,b<0
根据不等式的性质得:a•b>b•b
即ab>b2
∴C正确
对于D:由已知条件知:
∴D错误
故选C
点评:本题考查不等式的性质,须牢固掌握并能灵活应用不等式的性质,注意特值法的应用
练习册系列答案
相关习题

科目:高中数学 来源: 题型:

若a<b<0,则(  )

查看答案和解析>>

科目:高中数学 来源: 题型:

若a<b<0,则下列结论不正确的是(  )

查看答案和解析>>

科目:高中数学 来源: 题型:

若a>b>0,则下列不等式不成立的是(  )

查看答案和解析>>

科目:高中数学 来源: 题型:

若a>b>0,则
a
-
b
a-b
.(用”<”,”>”,”=”符号作答)

查看答案和解析>>

科目:高中数学 来源: 题型:

若a<b<0,则下列不等式不成立的是(  )
A、
1
a
1
b
B、
1
a-b
1
b
C、
-a
-b
D、|a|>-b

查看答案和解析>>

同步练习册答案