设a>0,函数f(x)=x2+a|lnx-1|.
(Ⅰ)当a=2时,求函数f(x)的单调增区间;
(Ⅱ)若x∈[1,+∞)时,不等式f(x)≥a恒成立,实数a的取值范围.
【答案】
分析:(1)由题意知当0<x≤e时,

,f(x)在(1,e]内单调递增.当x≥e时,

恒成立,故f(x)在[e,+∞)内单调递增.由此可知f(x)的单调增区间.
(2)当x≥e时,f(x)=x
2+alnx-a,

(x≥e),f(x)在[e,+∞)上增函数.当1≤x<e时,f(x)=x
2-alnx+a,

(1≤x<e)由此可求出答案.
解答:解:(1)当a=2时,f(x)=x
2+2|lnx-1|
=

(2分)
当0<x≤e时,

,
f(x)在(1,e]内单调递增;
当x≥e时,

恒成立,
故f(x)在[e,+∞)内单调递增;
∴f(x)的单调增区间为(1,+∞).(6分)
(2)①当x≥e时,f(x)=x
2+alnx-a,

(x≥e)∵a>0,
∴f′(x)>0恒成立,∴f(x)在[e,+∞)上增函数.
故当x=e时,y
min=f(e)=e
2.(8分)
②当1≤x<e时,f(x)=x
2-alnx+a,

(1≤x<e)
当

,即a≥2e
2时,
f′(x)在x∈(1,e)进为负数,
所以f(x)在区间[1,e]上为减函数,
故当x=e时,y
min=f(e)=e
2.(14分)
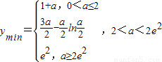
所以函数y=f(x)的最小值为

.
由条件得

此时0<a≤2;
或

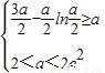
,
此时2<a≤2e;或

,此时无解.
综上,0<a≤2e.(16分)
点评:本题考查函数的性质和应用,解题时要认真审题,仔细解答.