精英家教网 > 高中数学 > 题目详情
函数f(x)=是定义在(-1,1)的奇函数,且f()=
(1)确定f(x)的解析式;
(2)判断函数在(-1,1)上的单调性;
(3)解不等式f(t-1)+f(t)<0.
【答案】分析:(1)若奇函数在x=0处有定义,则f(0)=0,代入即可得b,再由f()=代入即可得a值
(2)因为函数为奇函数,故只需判断x>0时函数的单调性即可,利用单调性定义即可证明
(3)利用函数的单调性和奇偶性将不等式中的f脱去,等价转化为关于t的不等式组,解之即可
解答:解:(1)∵函数f(x)=是定义在(-1,1)的奇函数
∴f(0)=0,即得b=0
∵f()=
,即得a=1
∴f(x)=
(2)设任意x1,x2∈(0,1),且x1<x2
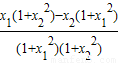
则f(x1)-f(x2)=-
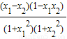
=
=<0
即f(x1)<f(x2
∴函数f(x)在(0,1)上为增函数
∵函数f(x)是定义在(-1,1)的奇函数
∴函数f(x)在(-1,1)上为增函数
(3)不等式f(t-1)+f(t)<0
?f(t-1)<-f(t)
?f(t-1)<f(-t)  (根据奇函数的性质)
?  (根据定义域和单调性)
?0<t<
点评:本题综合考查了函数的奇偶性和函数的单调性,奇函数的性质,函数单调性的判断方法,利用函数性质解不等式
练习册系列答案
相关习题

科目:高中数学 来源: 题型:

12、已知函数f(x+1)是定义在R上的奇函数,若对于任意给定的不等实数x1、x2,不等式(x1-x2)[f(x1)-f(x2)]<0恒成立,则不等式f(1-x)<0的解集为(  )

查看答案和解析>>

科目:高中数学 来源: 题型:

已知函数f(x+1)是定义在R上的奇函数,若对于任意给定的不等实数x1、x2,不等式(x1-x2)[f(x1)-f(x2)]<0恒成立,则不等式f(1-x)<0的解集为
(-∞,0)
(-∞,0)

查看答案和解析>>

科目:高中数学 来源: 题型:

(2012•福建模拟)设函数f(x)及其导函数f'(x)都是定义在R上的函数,则“?x1,x2∈R,且x1≠x2,|f(x1)-f(x2)|<|x1-x2|”是“?x∈R,|f'(x)|<1”的(  )

查看答案和解析>>

科目:高中数学 来源: 题型:

(2013•珠海二模)已知函数f(x-1)是定义在R上的奇函数,若对于任意给定的不等实数x1、x2,不等式(x1-x2)[f(x1)-f(x2)]>0恒成立,则不等式f(x+2)<0的解集为(  )

查看答案和解析>>

科目:高中数学 来源:2010-2011学年广东省汕头市高一(下)教学质量检测数学试卷(解析版) 题型:选择题

已知函数f(x+1)是定义在R上的奇函数,若对于任意给定的不等实数x1、x2,不等式(x1-x2)[f(x1)-f(x2)]<0恒成立,则不等式f(1-x)<0的解集为( )
A.(1,+∞)
B.(0,+∞)
C.(-∞,0)
D.(-∞,1)

查看答案和解析>>

同步练习册答案