精英家教网 > 高中数学 > 题目详情

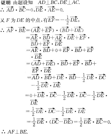
如下图,在△ABC中,AB=AC,D为BC的中点,DE⊥AC,E为垂足,F是DE的中点.求证:AF⊥BE.

答案:
解析:


提示:

这里是用向量的数量积来证两线垂直,这种方法显然比平面几何的思路要简单直观.


练习册系列答案
相关习题

科目:高中数学 来源: 题型:

如下图,在△ABC中,点M是BC的中点,点N在边AC上,且AN=2NC,AM与BN相交于点P,求AP∶PM的值.

查看答案和解析>>

科目:高中数学 来源:2012-2013学年山东省淄博一中高一上学期期末考试数学试卷(带解析) 题型:单选题

如下图,在△ABC中,设,AP的中点为Q,BQ的中点为R,CR的中点为P,若=m+n,则        (       )                        

A.B.C.D.

查看答案和解析>>

科目:高中数学 来源:2015届山东省高一上学期期末考试数学试卷(解析版) 题型:选择题

如下图,在△ABC中,设,AP的中点为Q,BQ的中点为R,CR的中点为P,若=m+n,则        (       )                        

A.              B.               C.               D.

 

查看答案和解析>>

科目:高中数学 来源: 题型:

如下图,在△ABC中,D、E、F分别是BC、AB、CA的中点,=a,求-+.

查看答案和解析>>

科目:高中数学 来源: 题型:

(1)如下图,在△ABC中,D为BC边上的中点.求证:=+).

(2)G为△ABC重心,O为平面内不同于G的任意一点,则=++).

查看答案和解析>>

同步练习册答案