精英家教网 > 高中数学 > 题目详情
已知等比数列{an}满足a1+a2=4,a2+a3=12,则a5=( )
A.64
B.81
C.128
D.243
【答案】分析:设出等比数列的公比,由已知条件联立方程组求解首项和公比,则答案可求.
解答:解:设等比数列{an}的公比为q,
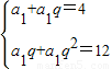
由a1+a2=4,a2+a3=12,得
,解得
所以
故选B.
点评:本题考查了等比数列的通项公式,考查了方程组的解法,是基础的运算题.
练习册系列答案
相关习题

科目:高中数学 来源: 题型:

5、已知等比数列{an}的前n项和为Sn,公比q≠1,若S5=3a4+1,S4=2a3+1,则q等于(  )

查看答案和解析>>

科目:高中数学 来源: 题型:

已知等比数列{an}中,a2=9,a5=243.
(1)求{an}的通项公式;
(2)令bn=log3an,求数列{
1bnbn+1
}的前n项和Sn

查看答案和解析>>

科目:高中数学 来源: 题型:

已知等比数列{an}满足a1•a7=3a3a4,则数列{an}的公比q=
3
3

查看答案和解析>>

科目:高中数学 来源: 题型:

已知等比数列{an}中a1=64,公比q≠1,且a2,a3,a4分别为某等差数列的第5项,第3项,第2项.
(Ⅰ)求数列{an}的通项公式;
(Ⅱ)设bn=log2an,求数列{|bn|}的前n项和Tn

查看答案和解析>>

科目:高中数学 来源: 题型:

已知等比数列{an}中,a3+a6=36,a4+a7=18.若an=
12
,则n=
9
9

查看答案和解析>>

同步练习册答案