精英家教网 > 高中数学 > 题目详情

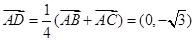
已知是边长为4的正三角形,内部两点,且满足,则的面积为         

 

【答案】

【解析】

试题分析:以为原点,以的垂直平分线为轴建立如图所示坐标系,由三角形边长为4得,得,故,又由

,由图可知的面积.

考点:向量的运算,数形结合的思想.

 

练习册系列答案
相关习题

科目:高中数学 来源: 题型:

如图,边长为a的正△ABC的中线AF与中位线DE相交于G,已知△A′ED是△AED绕DE旋转过程中的一个图形,现给出下列命题,其中正确的命题有
(1)(2)(3)
(1)(2)(3)
.(填上所有正确命题的序号) 
(1)动点A′在平面ABC上的射影在线段AF上;
(2)三棱锥A′-FED的体积有最大值;
(3)恒有平面A′GF⊥平面BCED;
(4)异面直线A′E与BD不可能互相垂直.

查看答案和解析>>

科目:高中数学 来源: 题型:解答题

如图,边长为a的正△ABC的中线AF与中位线DE相交于G,已知△A′ED是△AED绕DE旋转过程中的一个图形,现给出下列命题,其中正确的命题有________.(填上所有正确命题的序号)
(1)动点A′在平面ABC上的射影在线段AF上;
(2)三棱锥A′-FED的体积有最大值;
(3)恒有平面A′GF⊥平面BCED;
(4)异面直线A′E与BD不可能互相垂直.

查看答案和解析>>

科目:高中数学 来源:2012-2013学年四川省攀枝花七中高二(上)期中数学试卷(文科)(解析版) 题型:填空题

如图,边长为a的正△ABC的中线AF与中位线DE相交于G,已知△A′ED是△AED绕DE旋转过程中的一个图形,现给出下列命题,其中正确的命题有    .(填上所有正确命题的序号) 
(1)动点A′在平面ABC上的射影在线段AF上;
(2)三棱锥A′-FED的体积有最大值;
(3)恒有平面A′GF⊥平面BCED;
(4)异面直线A′E与BD不可能互相垂直.

查看答案和解析>>

科目:高中数学 来源:2012-2013学年浙江省绍兴市诸暨市湄池中学高二(上)12月段考数学试卷(文科)(解析版) 题型:填空题

如图,边长为a的正△ABC的中线AF与中位线DE相交于G,已知△A′ED是△AED绕DE旋转过程中的一个图形,现给出下列命题,其中正确的命题有    .(填上所有正确命题的序号) 
(1)动点A′在平面ABC上的射影在线段AF上;
(2)三棱锥A′-FED的体积有最大值;
(3)恒有平面A′GF⊥平面BCED;
(4)异面直线A′E与BD不可能互相垂直.

查看答案和解析>>

科目:高中数学 来源:2012-2013学年四川省攀枝花七中高二(上)期中数学试卷(文科)(解析版) 题型:填空题

如图,边长为a的正△ABC的中线AF与中位线DE相交于G,已知△A′ED是△AED绕DE旋转过程中的一个图形,现给出下列命题,其中正确的命题有    .(填上所有正确命题的序号) 
(1)动点A′在平面ABC上的射影在线段AF上;
(2)三棱锥A′-FED的体积有最大值;
(3)恒有平面A′GF⊥平面BCED;
(4)异面直线A′E与BD不可能互相垂直.

查看答案和解析>>

同步练习册答案