精英家教网 > 高中数学 > 题目详情

已知向量a=(sin(ωx+φ),2),b=(1,cos(ωx+φ))(ω>0,0<φ<)。函数f(x)=(a+b)·(a-b)的图象过点M(1,),且相邻两对称轴之间的距离为2,
(Ⅰ)求f(x)的表达式;
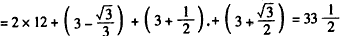
(Ⅱ)求f(0)+f(1)+f(2)+…+f(10)的值.

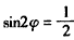
解:(Ⅰ)

由题意知,周期,∴
又图象过点M,∴




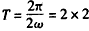
(Ⅱ)∵y=f(x)的周期T=4,



练习册系列答案
  • 高效课堂系列暑假作业新疆青少年出版社系列答案
  • 金鑫教育过好假期每一天团结出版社系列答案
  • 孟建平准备升级小学暑假衔接浙江工商大学出版社系列答案
  • 金榜题名大暑假小一轮山东出版传媒股份有限公司系列答案
  • 轻松暑假复习加预习中国海洋大学出版社系列答案
  • 走进暑假假期快乐练电子科技大学出版社系列答案
  • 快乐宝贝假期园地暑假系列答案
  • 暑假接力棒南京大学出版社系列答案
  • 数学奥赛暑假天天练南京大学出版社系列答案
  • 志鸿优化系列丛书暑假作业河北少年儿童出版社系列答案
  • 年级 高中课程 年级 初中课程
    高一 高一免费课程推荐! 初一 初一免费课程推荐!
    高二 高二免费课程推荐! 初二 初二免费课程推荐!
    高三 高三免费课程推荐! 初三 初三免费课程推荐!
    相关习题

    科目:高中数学 来源: 题型:

    已知向量
    a
    =(sinθ,-2),
    b
    =(cosθ,1)
    (1)若
    a
    b
    ,求tanθ;
    (2)当θ∈[-
    π
    12
    π
    3
    ]时,求f(θ)=
    a
    b
    -2|
    a
    +
    b
    |2的最值.

    查看答案和解析>>

    科目:高中数学 来源: 题型:

    已知向量
    a
    =(sinθ,1),
    b
    =(1,-cosθ),θ∈(0,π)
    (Ⅰ)若
    a
    b
    ,求θ;
    (Ⅱ)若
    a
    b
    =
    1
    5
    ,求tan(2θ+
    π
    4
    )
    的值.

    查看答案和解析>>

    科目:高中数学 来源: 题型:

    已知向量
    a
    =(sinθ,cosθ),
    b
    =(2,1),满足
    a
    b
    ,其中θ∈(0,
    π
    2
    )

    (I)求tanθ值;
    (Ⅱ)求
    2
    sin(θ+
    π
    4
    )(sinθ+2cosθ)
    cos2θ
    的值.

    查看答案和解析>>

    科目:高中数学 来源: 题型:

    已知向量
    a
    =(sinθ,cosθ)与
    b
    =(
    3
    ,1),其中θ∈(0,
    π
    2

    (1)若
    a
    b
    ,求sinθ和cosθ的值;
    (2)若f(θ)=(
    a
    b
    )
    2
    ,求f(θ)的值域.

    查看答案和解析>>

    科目:高中数学 来源: 题型:

    已知向量
    a
    =(sinθ,
    3
    cosθ),
    b
    =(1,1).
    (1)若
    a
    b
    ,求tanθ的值;
    (2)若|
    a
    |=|
    b
    |,且0<θ<π,求角θ的大小.

    查看答案和解析>>

    同步练习册答案