精英家教网 > 高中数学 > 题目详情
某商场搞促销,当顾客购买商品的金额达到一定数量之后可以抽奖,根据顾客购买商品的金额,从箱中(装有4只红球,3只白球,且除颜色外,球的外部特征完全相同)每抽到一只红球奖励20元的商品,每抽到一只白球奖励10元的商品(当顾客通过抽奖的方法确定了获奖商品后,即将小球全部放回箱中).
(Ⅰ)当顾客购买金额超过500元而少于1000元(含1000元)时,可从箱中一次随机抽取3个小球,求其中至少有一个红球的概率;
(Ⅱ)当顾客购买金额超过1000元时,可一次随机抽取4个小球,设他所获奖商品的金额为ξ元,求ξ的概率分布列和数学期望.
解:(Ⅰ)基本事件总数n==35,
设事件A={任取3球,至少有一个红球},则事件={任取3球,全是白球},
∵A与为对立事件,

于是
即该顾客任取3球,至少有一个红球的概率为
(Ⅱ)依题意ξ可能取值为50,60,70,80,
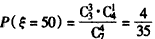
ξ=50表示所取4球为3白1红(∵),

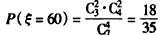
ξ=60表示所取4球为2白2红(∵),

ξ=70表示所取4球为3红1白(∵),

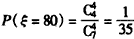
ξ=80表示所取4球全为红球(∵),

于是ξ的分布列为

(元),
即该顾客获奖的期望为元。
练习册系列答案
相关习题

科目:高中数学 来源: 题型:

某商场搞促销,当顾客购买商品的金额达到一定数量之后可以抽奖,根据顾客购买商品的金额,从箱中(装有4只红球,3只白球,且除颜色外,球的外部特征完全相同)每抽到一只红球奖励20元的商品,每抽到一只白球奖励10元的商品(当顾客通过抽奖的方法确定了获奖商品后,即将小球全部放回箱中).
(1)当顾客购买金额超过500元而少于1000元(含1000元)时,可从箱中一次随机抽取3个小球,求其中至少有一个红球的概率;
(2)当顾客购买金额超过1000元时,可一次随机抽取4个小球,设他所获奖商品的金额为ξ元,求ξ的概率分布列和数学期望.

查看答案和解析>>

科目:高中数学 来源:2010-2011学年江苏省姜堰市高三第一学期学情调研数学试卷 题型:解答题

必做题, 本小题10分.解答时应写出文字说明、证明过程或演算步骤.

某商场搞促销,当顾客购买商品的金额达到一定数量之后可以抽奖,根据顾客购买商品的金额,从箱中(装有4只红球,3只白球,且除颜色外,球的外部特征完全相同)每抽到一只红球奖励20元的商品(当顾客通过抽奖的方法确定了获奖商品后,即将小球全部放回箱中)

(1)当顾客购买金额超过500元而少于1000元(含1000元)时,可从箱中一次随机抽取3个小红球,求其中至少有一个红球的概率;

(2)当顾客购买金额超过1000元时,可一次随机抽取4个小球,设他所获奖商品的金额为元,求的概率分布列和数学期望.

 

查看答案和解析>>

科目:高中数学 来源:2010-2011学年江苏省姜堰市二中学高三学情调查数学试卷 题型:解答题

必做题, 本小题10分.解答时应写出文字说明、证明过程或演算步骤.

某商场搞促销,当顾客购买商品的金额达到一定数量之后可以抽奖,根据顾客购买商品的金额,从箱中(装有4只红球,3只白球,且除颜色外,球的外部特征完全相同)每抽到一只红球奖励20元的商品(当顾客通过抽奖的方法确定了获奖商品后,即将小球全部放回箱中)

(1)当顾客购买金额超过500元而少于1000元(含1000元)时,可从箱中一次随机抽取3个小红球,求其中至少有一个红球的概率;

(2)当顾客购买金额超过1000元时,可一次随机抽取4个小球,设他所获奖商品的金额为元,求的概率分布列和数学期望.

 

 

查看答案和解析>>

科目:高中数学 来源:2010-2011学年江苏省姜堰市高三第一学期学情调研数学试卷 题型:解答题

必做题, 本小题10分.解答时应写出文字说明、证明过程或演算步骤.

某商场搞促销,当顾客购买商品的金额达到一定数量之后可以抽奖,根据顾客购买商品的金额,从箱中(装有4只红球,3只白球,且除颜色外,球的外部特征完全相同)每抽到一只红球奖励20元的商品(当顾客通过抽奖的方法确定了获奖商品后,即将小球全部放回箱中)

(1)当顾客购买金额超过500元而少于1000元(含1000元)时,可从箱中一次随机抽取3个小红球,求其中至少有一个红球的概率;

(2)当顾客购买金额超过1000元时,可一次随机抽取4个小球,设他所获奖商品的金额为元,求的概率分布列和数学期望.

 

查看答案和解析>>

科目:高中数学 来源:2010-2011学年江苏省姜堰市高三学情调查数学试卷 题型:解答题

必做题, 本小题10分.解答时应写出文字说明、证明过程或演算步骤.

某商场搞促销,当顾客购买商品的金额达到一定数量之后可以抽奖,根据顾客购买商品的金额,从箱中(装有4只红球,3只白球,且除颜色外,球的外部特征完全相同)每抽到一只红球奖励20元的商品(当顾客通过抽奖的方法确定了获奖商品后,即将小球全部放回箱中)

(1)当顾客购买金额超过500元而少于1000元(含1000元)时,可从箱中一次随机抽取3个小红球,求其中至少有一个红球的概率;

(2)当顾客购买金额超过1000元时,可一次随机抽取4个小球,设他所获奖商品的金额为元,求的概率分布列和数学期望.

 

 

查看答案和解析>>

同步练习册答案