精英家教网 > 高中数学 > 题目详情
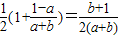
(1)计算:
(2)已知a=lg2,10b=3,用a,b表示
【答案】分析:(1)根据指数幂的运算法则,和对数运算法则分别化简即可
(2)先表示出b,再根据对数运算法则化简,用a、b表示即可
解答:解:(1)原式===        
(2)∵10b=3
∴b=lg3
又∵a=lg2
==
点评:本题考查指数运算和对数运算,要求熟练掌握指数运算法则和对数运算法则,能熟练变形和应用公式.属简单题
练习册系列答案
相关习题

科目:高中数学 来源: 题型:

(1)计算:
1
2
lg2+
(lg
2
)
2
-lg2+1
-
3
a9
a-3
÷
3
a13
a7

(2)已知lga+lgb=2lg(a-2b)
a
b
的值.

查看答案和解析>>

科目:高中数学 来源: 题型:

(1)计算:0.25-2-8 
2
3
-(
1
16
)-0.75-2log510-log50.25

(2)已知函数f(x)是定义域为R的奇函数,当x≤0时,f(x)=x(1+x).求函数f(x)的解析式并画出函数f(x)的图象.

查看答案和解析>>

科目:高中数学 来源: 题型:

(1)计算
lg
27
+lg8-lg
1000
lg1.2
  
(2)已知log189=a,18b=5,试用a,b表示log365.

查看答案和解析>>

科目:高中数学 来源: 题型:

已知矩阵A=
21
-21
B=
1-2
01

(1)计算AB;
(2)若矩阵B把直线l:x+y+2=0变为直线l',求直线l'的方程.

查看答案和解析>>

科目:高中数学 来源: 题型:

(1)计算:
cos0+5sin
π
2
-3sin
2
+10cosπ

cos
π
3
-tan
π
4
+
3
4
tan2
π
6
-sin
π
6
+cos2
π
4
+sin2
π
3

(2)化简:
sin(2π-α)cos(3π+α)cos(
2
+α)
sin(-π+α)sin(3π-α)cos(-α-π)

查看答案和解析>>

同步练习册答案