精英家教网 > 高中数学 > 题目详情
在平面直角坐标系xOy中,动点P到两点(-,0),(,0)的距离之和等于4,设点P的轨迹为曲线C,直线l过点E(-1,0)且与曲线C交于A,B两点.
(1)求曲线C的轨迹方程;
(2)若AB中点横坐标为-,求直线AB的方程;
(3)是否存在△AOB面积的最大值,若存在,求出△AOB的面积;若不存在,说明理由.
【答案】分析:(1)由椭圆定义可知,点P的轨迹C是以(-,0),(,0)为焦点,长半轴长为2的椭圆,从而可得曲线C的方程;
(2)利用点差法,求出直线的斜率,即可得到直线的方程;
(3)直线方程代入椭圆方程,求出A,B的纵坐标,利用S△AOB=,可得面积,利用换元法,结合函数的单调性,即可得到结论.
解答:解:(1)由椭圆定义可知,点P的轨迹C是以(-,0),(,0)为焦点,长半轴长为2的椭圆.
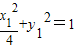
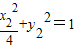
故曲线C的方程为
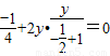
(2)设A(x1,y1),B(x2,y2),AB中点横坐标为y,则
两方程相减可得
∵直线l过点E(-1,0)且与曲线C交于A,B两点,AB中点横坐标为-



∴直线AB的斜率为k=
∴直线AB的方程为y=(x+1);
(3)存在△AOB面积的最大值.
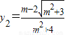
因为直线l过点E(-1,0),可设直线l的方程为x=my-1.
代入椭圆方程整理得(m2+4)y2-2my-3=0.
设A(x1,y1),B(x2,y2),解得y1=
则|y2-y1|=
∴S△AOB==
设t=(t),则g(t)=
∵y=在区间[,+∞)上为增函数.

,当且仅当m=0时取等号,
∴S△AOB的最大值为
点评:本题考查直线与椭圆的方程,考查直线与椭圆的位置关系,考查三角形面积的计算,考查学生计算能力,属于中档题.
练习册系列答案
相关习题

科目:高中数学 来源: 题型:

在平面直角坐标系xoy中,已知圆心在直线y=x+4上,半径为2
2
的圆C经过坐标原点O,椭圆
x2
a2
+
y2
9
=1(a>0)
与圆C的一个交点到椭圆两焦点的距离之和为10.
(1)求圆C的方程;
(2)若F为椭圆的右焦点,点P在圆C上,且满足PF=4,求点P的坐标.

查看答案和解析>>

科目:高中数学 来源: 题型:

如图,在平面直角坐标系xOy中,锐角α和钝角β的终边分别与单位圆交于A,B两点.若点A的横坐标是
3
5
,点B的纵坐标是
12
13
,则sin(α+β)的值是
16
65
16
65

查看答案和解析>>

科目:高中数学 来源: 题型:

在平面直角坐标系xOy中,若焦点在x轴的椭圆
x2
m
+
y2
3
=1
的离心率为
1
2
,则m的值为
4
4

查看答案和解析>>

科目:高中数学 来源: 题型:

(2013•泰州三模)选修4-4:坐标系与参数方程
在平面直角坐标系xOy中,已知A(0,1),B(0,-1),C(t,0),D(
3t
,0)
,其中t≠0.设直线AC与BD的交点为P,求动点P的轨迹的参数方程(以t为参数)及普通方程.

查看答案和解析>>

科目:高中数学 来源: 题型:

(2013•东莞一模)在平面直角坐标系xOy中,已知椭圆C:
x2
a2
+
y2
b2
=1(a>b>0)
的左焦点为F1(-1,0),且椭圆C的离心率e=
1
2

(1)求椭圆C的方程;
(2)设椭圆C的上下顶点分别为A1,A2,Q是椭圆C上异于A1,A2的任一点,直线QA1,QA2分别交x轴于点S,T,证明:|OS|•|OT|为定值,并求出该定值;
(3)在椭圆C上,是否存在点M(m,n),使得直线l:mx+ny=2与圆O:x2+y2=
16
7
相交于不同的两点A、B,且△OAB的面积最大?若存在,求出点M的坐标及对应的△OAB的面积;若不存在,请说明理由.

查看答案和解析>>

同步练习册答案