精英家教网 > 高中数学 > 题目详情
已知△ABC中,角A、B、C所对的边分别为a、b、c,且
(I)求的值;
(II)若△ABC的面积S=3,且b=2,求△ABC的外接圆半径R.
【答案】分析:(I)利用同角三角函数的基本关系,利用tanA的值,进而求得sinA和cosA的值,然后利用二倍角公式对原式整理,求得问题的答案.
(II)利用三角形面积公式和三角形的面积求得c的值,进而利用余弦定理求得a的值,最后利用正弦定理求得R.
解答:解:(I)由tanA=,可得sinA=,cosA=

=
=
=

(II)由得:,解得C=5.
由余弦定理a2=b2+c2-2bccosA,得到
由正弦定理
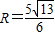
所以
点评:本题主要考查了余弦定理的应用,二倍角公式的化简求值.考查了基础知识的综合运用.
练习册系列答案
相关习题

科目:高中数学 来源: 题型:

已知△ABC中,角A,B,C的对边分别为a,b,c,AH为BC边上的高,以下结论:①
AH
•(
AC
-
AB
)=0

AB
BC
<0⇒△ABC
为钝角三角形;
AC
AH
|
AH
|
=csinB

BC
•(
AC
-
AB
)=a2
,其中正确的个数是(  )

查看答案和解析>>

科目:高中数学 来源: 题型:

已知△ABC中,角A、B、C的对边分别是a、b、c,且满足b+c=
3
a
,设
m
=[cos(
π
2
+A),-1],
n
=(cosA-
5
4
,-sinA),
m
n
,试求角B的大小.

查看答案和解析>>

科目:高中数学 来源: 题型:

已知△ABC中,角A,B,C的对边分别为a,b,c.
(1)证明:
a+b
2a+b
c
a+c

(2)证明:不论x取何值总有b2x2+(b2+c2-a2)x+c2>0;
(3)若a>c≥2,证明:
1
a+c+1
-
1
(c+1)(a+1)
1
6

查看答案和解析>>

科目:高中数学 来源: 题型:

已知△ABC中,角A、B、C所对的边长分别为a,b,c且角A,B、C成等差数列,△ABC的面积S=
b2-(a-c)2k
,则实数k的值为
 

查看答案和解析>>

科目:高中数学 来源: 题型:

已知△ABC中,角A,B,C的对边分别为a,b,c,a=
2
,向量
m
=(-1,1)
n
=(cosBcosC,sinBsinC-
2
2
)
,且
m
n

(Ⅰ)求A的大小;
(Ⅱ)当sinB+cos(
12
-C)
取得最大值时,求角B的大小和△ABC的面积.

查看答案和解析>>

同步练习册答案