精英家教网 > 高中数学 > 题目详情
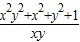
(不等式选讲选做题)x、y>0,x+y=1,则的最小值为   
【答案】分析:先将式子展开,利用完全平方公式将x2+y2用(x+y)2表示,将x+y用1代替;令xy=t;将函数转化为只含t的函数;利用基本不等式求出t的范围;利用函数的单调性求出最小值.
解答:解:=
=
=
∵x+y=1

令xy=t则0<

递减
最小为
故答案为
点评:本题考查换元的数学思想方法:注意新变量的范围、考查利用基本不等式求代数式的范围、考查利用函数单调性求函数的最值.
练习册系列答案
相关习题

科目:高中数学 来源:2012-2013学年陕西省宝鸡市金台区高三(上)11月质量检测数学试卷(文科)(解析版) 题型:填空题

本题A、B、C三个选答题,请考生任选一题作答,如果多做,则按所做的第一题计分.
A.(不等式选讲选做题)若不等式|x-1|+|x-m|<2m的解集为∅,则m的取值范围为   
B.(几何证明选讲选做题)如图所示,已知AB和AC是圆的两条弦,过点B作圆的切线与AC的延长线相交于点D.过点C作BD的平行线与圆相交于点E,与AB相交于点F,AF=3,FB=1,EF=,则线段CD的长为   
C.(极坐标系与参数方程选做题)在极坐标系中,ρ(2,)的直角坐标是   

查看答案和解析>>

科目:高中数学 来源:2012-2013学年陕西省宝鸡市金台区高三(上)会考数学试卷(文科)(解析版) 题型:填空题

本题A、B、C三个选答题,请考生任选一题作答,如果多做,则按所做的第一题计分.
A.(不等式选讲选做题)若不等式|x-1|+|x-m|<2m的解集为∅,则m的取值范围为   
B.(几何证明选讲选做题)如图所示,已知AB和AC是圆的两条弦,过点B作圆的切线与AC的延长线相交于点D.过点C作BD的平行线与圆相交于点E,与AB相交于点F,AF=3,FB=1,EF=,则线段CD的长为   
C.(极坐标系与参数方程选做题)在极坐标系中,ρ(2,)的直角坐标是   

查看答案和解析>>

科目:高中数学 来源:2012-2013学年陕西省宝鸡市金台区高三(上)会考数学试卷(理科)(解析版) 题型:填空题

本题A、B、C三个选答题,请考生任选一题作答,如果多做,则按所做的第一题计分.
A.(不等式选讲选做题)若不等式|x-1|+|x-m|<2m的解集为∅,则m的取值范围为   
B.(几何证明选讲选做题)如图所示,已知AB和AC是圆的两条弦,过点B作圆的切线与AC的延长线相交于点D.过点C作BD的平行线与圆相交于点E,与AB相交于点F,AF=3,FB=1,EF=,则线段CD的长为   
C.(极坐标系与参数方程选做题)在极坐标系中,ρ(2,)的直角坐标是   

查看答案和解析>>

科目:高中数学 来源:2012-2013学年陕西省宝鸡市金台区高三(上)11月质量检测数学试卷(文科)(解析版) 题型:填空题

本题A、B、C三个选答题,请考生任选一题作答,如果多做,则按所做的第一题计分.
A.(不等式选讲选做题)若不等式|x-1|+|x-m|<2m的解集为∅,则m的取值范围为   
B.(几何证明选讲选做题)如图所示,已知AB和AC是圆的两条弦,过点B作圆的切线与AC的延长线相交于点D.过点C作BD的平行线与圆相交于点E,与AB相交于点F,AF=3,FB=1,EF=,则线段CD的长为   
C.(极坐标系与参数方程选做题)在极坐标系中,ρ(2,)的直角坐标是   

查看答案和解析>>

科目:高中数学 来源:2012-2013学年陕西省宝鸡市金台区高三(上)11月质量检测数学试卷(理科)(解析版) 题型:填空题

本题A、B、C三个选答题,请考生任选一题作答,如果多做,则按所做的第一题计分.
A.(不等式选讲选做题)若不等式|x-1|+|x-m|<2m的解集为∅,则m的取值范围为   
B.(几何证明选讲选做题)如图所示,已知AB和AC是圆的两条弦,过点B作圆的切线与AC的延长线相交于点D.过点C作BD的平行线与圆相交于点E,与AB相交于点F,AF=3,FB=1,EF=,则线段CD的长为   
C.(极坐标系与参数方程选做题)在极坐标系中,ρ(2,)的直角坐标是   

查看答案和解析>>

同步练习册答案