在△ABC中,内角A、B、C的对边长分别为a、b、c,已知a2-c2=2b,且sinAcosC=3cosAsinC,求b
【答案】
分析:根据正弦定理和余弦定理将sinAcosC=3cosAsinC化成边的关系,再根据a
2-c
2=2b即可得到答案.
解答:解:法一:在△ABC中∵sinAcosC=3cosAsinC,
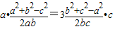
则由正弦定理及余弦定理有:

,
化简并整理得:2(a
2-c
2)=b
2.
又由已知a
2-c
2=2b∴4b=b
2.
解得b=4或b=0(舍);
法二:由余弦定理得:a
2-c
2=b
2-2bccosA.
又a
2-c
2=2b,b≠0.
所以b=2ccosA+2①又sinAcosC=3cosAsinC,
∴sinAcosC+cosAsinC=4cosAsinCsin(A+C)=4cosAsinC,
即sinB=4cosAsinC由正弦定理得

,
故b=4ccosA②由①,②解得b=4.
点评:本题主要考查正弦定理和余弦定理的应用.属基础题.