精英家教网 > 高中数学 > 题目详情

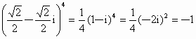
等于

[  ]

A1

B.-1

Ci

D.-i

答案:B
解析:

解析:∵


练习册系列答案
相关习题

科目:高中数学 来源: 题型:013

在数列1223334444……中,A100等于(  

A.13                                                             B.100

C.10                                                              D.14

查看答案和解析>>

科目:高中数学 来源: 题型:013

在数列{An}中,A1=1,A2=5,An+2=An+1An(nN*),A1000等于(  

A.5                                                               

B.5

C.1                                                               

D.1

 

查看答案和解析>>

科目:高中数学 来源:数学教研室 题型:013

在数列1223334444……中,A100等于(  

A.13                                                             B.100

C.10                                                              D.14

查看答案和解析>>

科目:高中数学 来源:数学教研室 题型:013

在数列{An}中,A1=1,A2=5,An+2=An+1An(nN*),A1000等于(  

A.5                                                               

B.5

C.1                                                               

D.1

 

查看答案和解析>>

科目:高中数学 来源: 题型:

下列程序运行后,a,b,c的值各等于什么?

    (1)a=3        (2)a=3

     b=-5          b=-5

     c=8           c=8

     a=b           a=b

     b=c           b=c

     PRINT a,b,c     c=a

     END          PRINT a,b,c

     END

   

查看答案和解析>>

同步练习册答案