精英家教网 > 高中数学 > 题目详情
直角三角形的三条边长构成等差数列,则其最小内角的正弦值为( )
A.
B.
C.
D.
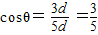
【答案】分析:由题意可设直角三角形的三边分别为a-d,a,a+d(d>0,a>0)则最小的角为a-d所对的边,并设为θ,由勾股定理可得(a-d)2+a2=(a+d)2,从而可求a,d之间的关系,进而利用三角函数的定义在直角三角形中可求
解答:解:由题意可设直角三角形的三边分别为a-d,a,a+d(d>0,a>0)
则最小的角为a-d所对的边,并设为θ
由勾股定理可得,(a-d)2+a2=(a+d)2
∴a2=4ad即a=4d
三边分别为3d,4d,5d

故选A.
点评:本题主要考查了等差数列与三角函数的综合考查,解题的关键是根据等差数列的条件设出三边,进而结合三角形的条件求解.
练习册系列答案
相关习题

科目:高中数学 来源: 题型:

直角三角形的三条边长构成等差数列,则其最小内角的正弦值为(  )
A、
3
5
B、
4
5
C、
5
-1
2
D、
5
+1
4

查看答案和解析>>

科目:高中数学 来源: 题型:

已知a、b、c为某一直角三角形的三条边长,c为斜边.若点(m,n)在直线ax+by+2c=0上,则m2+n2的最小值是
4
4

查看答案和解析>>

科目:高中数学 来源: 题型:

(2013•江苏一模)设函数f(x)=lnx的定义域为(M,+∞),且M>0,对于任意a,b,c∈(M,+∞),若a,b,c是直角三角形的三条边长,且f(a),f(b),f(c)也能成为三角形的三条边长,那么M的最小值为
2
2

查看答案和解析>>

科目:高中数学 来源:2010年河南大学附属中学高二上学期期中考试理科数学卷 题型:选择题

一个直角三角形的三条边长为,若,则边长是的三角形的形状是

A.锐角三角形       B.直角三角形        C.钝角三角形      D.不确定

 

查看答案和解析>>

科目:高中数学 来源:2010年河北省高一下学期期末考试数学试题 题型:填空题

已知点P(m,n)在直线上移动,其中a,b,c为某一直角三角形的三条边长,c为斜边,则m2+n2的最小值是                    .

 

查看答案和解析>>

同步练习册答案