相关习题
 0  66972  66980  66986  66990  66996  66998  67002  67008  67010  67016  67022  67026  67028  67032  67038  67040  67046  67050  67052  67056  67058  67062  67064  67066  67067  67068  67070  67071  67072  67074  67076  67080  67082  67086  67088  67092  67098  67100  67106  67110  67112  67116  67122  67128  67130  67136  67140  67142  67148  67152  67158  67166  266669 

科目: 来源: 题型:

ab为大于1的正数,并且,如果的最小值为m,则满足的整点的个数为                                    (     )

A.5                    B.7                    C.9                   D.11

查看答案和解析>>

科目: 来源: 题型:

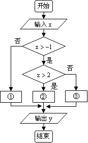
右图是计算函数的值的程序框图,则在①、②、③处应分别填入的是            (     )

       A.             

       B.

       C.                

       D.

查看答案和解析>>

科目: 来源: 题型:

已知,设函数的最大值为 ,最小值为,    那么M+N=(   )

   A.0    B. 2008      C. 4016      D.4017

查看答案和解析>>

科目: 来源: 题型:

设实数满足条件,则的最大值为   

查看答案和解析>>

科目: 来源: 题型:

已知某种稀有矿石的价值(单位:元)与其重量(单位:克)的平方成正比,且克该种矿石的价值为元。⑴写出(单位:元)关于(单位:克)的函数关系式;

⑵若把一块该种矿石切割成重量比为的两块矿石,求价值损失的百分率;

⑶把一块该种矿石切割成两块矿石时,切割的重量比为多少时,价值损失的百分率最大。

(注:价值损失的百分率;在切割过程中的重量损耗忽略不计)

查看答案和解析>>

科目: 来源: 题型:

(本小题15分)已知△ABC的周长为6, 依次为a,b,c,成等比数列.

(1)求证:

(2)求△ABC的面积S的最大值;  

(3)求的取值范围.

查看答案和解析>>

科目: 来源: 题型:

(本题满分15分)

国家加大水利工程建设,某地区要修建一条灌溉水渠,其横断面为等腰梯形(如图),底角,考虑到坚固性及用料原因,要求其横断面的面积为平方米,记水渠深为米,用料部分的周长(即渠底及两腰长的和)为米,

⑴.求关于的函数关系式,并指出其定义域;

⑵.当水渠的腰长为多少米时,水泥用料最省(即断面的用料部分的周长最小)?求此时用料周长的值

⑶.如果水渠的深限制在范围内时,横断面用料部分周长的最小值是多少米?

查看答案和解析>>

科目: 来源: 题型:

(本小题满分14分)

已知数列的前n项和为,且.

(I)求数列的通项公式

(II) 已知,求证:

      .

 

查看答案和解析>>

科目: 来源: 题型:

(本小题满分14分)已知为两个正数,且,设时,

(Ⅰ)求证:数列是递减数列,数列是递增数列;

(Ⅱ)求证:

(Ⅲ)

查看答案和解析>>

科目: 来源: 题型:

已知,若上恒成立,则实数的取值范围是

A.        B.          C.         D.

查看答案和解析>>

同步练习册答案