相关习题
 0  76607  76615  76621  76625  76631  76633  76637  76643  76645  76651  76657  76661  76663  76667  76673  76675  76681  76685  76687  76691  76693  76697  76699  76701  76702  76703  76705  76706  76707  76709  76711  76715  76717  76721  76723  76727  76733  76735  76741  76745  76747  76751  76757  76763  76765  76771  76775  76777  76783  76787  76793  76801  266669 

科目: 来源:2012-2013学年宁夏银川一中高二(上)期中数学试卷(理科)(解析版) 题型:填空题

a>1,则的最小值是    

查看答案和解析>>

科目: 来源:2012-2013学年宁夏银川一中高二(上)期中数学试卷(理科)(解析版) 题型:填空题

在公差不为0的等差数列{an}中,a1,a3,a4成等比数列,则该等比数列的公比   

查看答案和解析>>

科目: 来源:2012-2013学年宁夏银川一中高二(上)期中数学试卷(理科)(解析版) 题型:填空题

已知x>0,y>0,且,若x+2y>m2+2m恒成立,则实数m的取值范围是   

查看答案和解析>>

科目: 来源:2012-2013学年宁夏银川一中高二(上)期中数学试卷(理科)(解析版) 题型:填空题

过椭圆的右焦点作一条斜率为2的直线与椭圆交于A、B两点,O为坐标原点,则△OAB的面积为   

查看答案和解析>>

科目: 来源:2012-2013学年宁夏银川一中高二(上)期中数学试卷(理科)(解析版) 题型:解答题

已知点A(3,0)为圆x2+y2=1外一点,P为圆上任意一点,若AP的中点为M,当P在圆上运动时,求点M的轨迹方程.并说明它表示什么曲线.

查看答案和解析>>

科目: 来源:2012-2013学年宁夏银川一中高二(上)期中数学试卷(理科)(解析版) 题型:解答题

已知命题p:“?x∈[1,2],x2-a≥0”,命题q:“?x∈R,x2+2ax+2-a=0”,若命题“p且q”是真命题,求实数a的取值范围.

查看答案和解析>>

科目: 来源:2012-2013学年宁夏银川一中高二(上)期中数学试卷(理科)(解析版) 题型:解答题

动物园要围成面积相同的长方形虎笼四间,一面可利用原有的墙,其它各面用钢筋网围成.
(1)现有可围36m长的钢筋网的材料,每间虎笼的长、宽各设计为多少时,可使每间虎笼的面积最大?
(2)若使每间虎笼的面积为24m2,则每间虎笼的长、宽各设计为多少时,可使围成四间虎笼的钢筋网总长最小?

查看答案和解析>>

科目: 来源:2012-2013学年宁夏银川一中高二(上)期中数学试卷(理科)(解析版) 题型:解答题

等比数列{an}的各项均为正数,且2a1+3a2=1,a32=9a2a6
(Ⅰ)求数列{an}的通项公式;
(Ⅱ)设bn=log3a1+log3a2+…+log3an,求数列{}的前n项和.

查看答案和解析>>

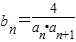
科目: 来源:2012-2013学年宁夏银川一中高二(上)期中数学试卷(理科)(解析版) 题型:解答题

设{an}是正数组成的数列,其前n项和为Sn,并且对于所有的n∈N+,都有8Sn=(an+2)2
(1)写出数列{an}的前3项;
(2)求数列{an}的通项公式(写出推证过程);
(3)设,Tn是数列{bn}的前n项和,求使得对所有n∈N+都成立的最小正整数m的值.

查看答案和解析>>

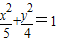
科目: 来源:2012-2013学年宁夏银川一中高二(上)期中数学试卷(理科)(解析版) 题型:解答题

已知中心在原点O,焦点在x轴上,离心率为的椭圆过点().
(1)求椭圆的方程;
(2)设不过原点O的直线l与该椭圆交于P,Q两点,满足直线OP,PQ,OQ的斜率依次成等比数列,求△OPQ面积的取值范围.

查看答案和解析>>

同步练习册答案