相关习题
 0  77479  77487  77493  77497  77503  77505  77509  77515  77517  77523  77529  77533  77535  77539  77545  77547  77553  77557  77559  77563  77565  77569  77571  77573  77574  77575  77577  77578  77579  77581  77583  77587  77589  77593  77595  77599  77605  77607  77613  77617  77619  77623  77629  77635  77637  77643  77647  77649  77655  77659  77665  77673  266669 

科目: 来源:2012-2013学年湖北省武汉市高二(下)期中数学试卷(文科)(解析版) 题型:选择题

已知f(2)=-g′(2)=-2,g(2)=f′(2)=1,函数F(x)=f(x)[g(x)-2],则F′(2)=( )
A.-5
B.5
C.-3
D.3

查看答案和解析>>

科目: 来源:2012-2013学年湖北省武汉市高二(下)期中数学试卷(文科)(解析版) 题型:选择题

已知圆O′:(x-1)2+y2=36,点A(-1,0),M是圆上任意一点,线段AM的中垂线l和直线O′M相交于点Q,则点Q的轨迹方程为( )
A.
B.
C.
D.

查看答案和解析>>

科目: 来源:2012-2013学年湖北省武汉市高二(下)期中数学试卷(文科)(解析版) 题型:填空题

命题p:“?x∈R,使得x2+x+1<0”,则¬p:   

查看答案和解析>>

科目: 来源:2012-2013学年湖北省武汉市高二(下)期中数学试卷(文科)(解析版) 题型:填空题

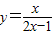
曲线在点(1,1)处的切线方程为   

查看答案和解析>>

科目: 来源:2012-2013学年湖北省武汉市高二(下)期中数学试卷(文科)(解析版) 题型:填空题

顶点在原点,对称轴为x轴且过点(-4,4)的抛物线的标准方程是   

查看答案和解析>>

科目: 来源:2012-2013学年湖北省武汉市高二(下)期中数学试卷(文科)(解析版) 题型:填空题

椭圆的焦点为F1,F2,点P在椭圆上,且线段PF1的中点恰好在y轴上,|PF1|=λ|PF2|,则λ=   

查看答案和解析>>

科目: 来源:2012-2013学年湖北省武汉市高二(下)期中数学试卷(文科)(解析版) 题型:填空题

函数f(x)=-x的单调递增区间为   

查看答案和解析>>

科目: 来源:2012-2013学年湖北省武汉市高二(下)期中数学试卷(文科)(解析版) 题型:填空题

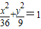
如果椭圆的弦被点(4,2)平分,则这条弦所在的直线方程是   

查看答案和解析>>

科目: 来源:2012-2013学年湖北省武汉市高二(下)期中数学试卷(文科)(解析版) 题型:填空题

有以下命题:
①一个命题的逆命题为真,它的否命题也一定为真;
②椭圆的离心率为e,则e越接近于1,椭圆越圆;e越接近于0,椭圆越扁.
③不是奇函数的函数的图象不关于原点对称;
④已知函数y=f(x)的定义域为(a,b),若f(x)在定义域内有极大值,则f(x)在定义域内必有最大值.
其中,错误的命题是    .(写出所有你认为错误的命题的序号)

查看答案和解析>>

科目: 来源:2012-2013学年湖北省武汉市高二(下)期中数学试卷(文科)(解析版) 题型:解答题

已知命题p:?x∈R,x2-a≥0,命题q:?x∈R,x2+2ax+2-a=0,命题“p或q”为假,求实数a的取值范围.

查看答案和解析>>

同步练习册答案