相关习题
0 77947 77955 77961 77965 77971 77973 77977 77983 77985 77991 77997 78001 78003 78007 78013 78015 78021 78025 78027 78031 78033 78037 78039 78041 78042 78043 78045 78046 78047 78049 78051 78055 78057 78061 78063 78067 78073 78075 78081 78085 78087 78091 78097 78103 78105 78111 78115 78117 78123 78127 78133 78141 266669
科目:
来源:2012-2013学年浙江省杭州市建德市新安江中学高三(上)12月月考数学试卷(文科)(解析版)
题型:填空题
已知函数y=sin(ωx+φ)(ω>0,0<φ≤

)的部分图象如图所示,则点P(ω,φ)的坐标为
.

查看答案和解析>>
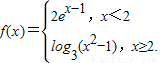
科目:
来源:2012-2013学年浙江省杭州市建德市新安江中学高三(上)12月月考数学试卷(文科)(解析版)
题型:填空题

则f(f(2))的值为
.
查看答案和解析>>
科目:
来源:2012-2013学年浙江省杭州市建德市新安江中学高三(上)12月月考数学试卷(文科)(解析版)
题型:填空题
点O在△ABC内部,且满足

,则△ABC面积与凹四边形ABCO的面积之比为
.
查看答案和解析>>
科目:
来源:2012-2013学年浙江省杭州市建德市新安江中学高三(上)12月月考数学试卷(文科)(解析版)
题型:填空题
设曲线y=xn+1(n∈N*)在点(1,1)处的切线与x轴的交点的横坐标为xn,令an=lgxn,则a1+a2+…+a99的值为 .
查看答案和解析>>
科目:
来源:2012-2013学年浙江省杭州市建德市新安江中学高三(上)12月月考数学试卷(文科)(解析版)
题型:填空题
下列说法:
①“?x∈R,使2
x>3”的否定是“?x∈R,使2
x≤3”;
②函数y=sin(2x+

)sin(

-2x)的最小正周期是π,
③命题“函数f(x)在x=x
处有极值,则f′(x
)=0”的否命题是真命题;
④f(x)是(-∞,0)∪(0,+∞)上的奇函数,x>0时的解析式是f(x)=2
x,则x<0时的解析式为f(x)=-2
-x其中正确的说法是
.
查看答案和解析>>
科目:
来源:2012-2013学年浙江省杭州市建德市新安江中学高三(上)12月月考数学试卷(文科)(解析版)
题型:解答题
在△ABC中,a,b,c分别为内角A,B,C的对边,且b
2+c
2-a
2=bc.向量

(Ⅰ)求角A的大小;
(Ⅱ)设函数

,当f(B)取最大值

时,判断△ABC的形状.
查看答案和解析>>
科目:
来源:2012-2013学年浙江省杭州市建德市新安江中学高三(上)12月月考数学试卷(文科)(解析版)
题型:解答题
已知函数f(x)=cos(2x-

)+2sin(x-

)sin(x+

)
(1)求函数f(x)的最小正周期和图象的对称轴方程
(2)若

,求

的值.
查看答案和解析>>
科目:
来源:2012-2013学年浙江省杭州市建德市新安江中学高三(上)12月月考数学试卷(文科)(解析版)
题型:解答题
在△ABC中,满足

与

的夹角为60°,M是AB的中点.
(1)若|

|=|

|,求向量

与

的夹角的余弦值.
(2)若|AB|=2,|

|=2

,在AC上确定一点D的位置,使得

达到最小,并求出最小值.
查看答案和解析>>
科目:
来源:2012-2013学年浙江省杭州市建德市新安江中学高三(上)12月月考数学试卷(文科)(解析版)
题型:解答题
已知

,点

在曲线y=f(x)上(n∈N
*)且a
1=1,a
n>0.
(Ⅰ)求证:数列

为等差数列,并求数列{a
n}的通项公式;
(Ⅱ)设数列

的前n项和为S
n,若对于任意的n∈N
*,存在正整数t,使得

恒成立,求最小正整数t的值.
查看答案和解析>>
科目:
来源:2012-2013学年浙江省杭州市建德市新安江中学高三(上)12月月考数学试卷(文科)(解析版)
题型:解答题
已知函数f(x)=(x-a)
2e
x,a∈R.
(1)求f(x)的单调区间;
(2)对任意的x∈(-∞,1],不等式f(x)≤4e恒成立,求a的取值范围;
(3)求证:当a=2,2<t<6时,关于x的方程

在区间[-2,t]上总有两个不同的解.
查看答案和解析>>