相关习题
 0  77976  77984  77990  77994  78000  78002  78006  78012  78014  78020  78026  78030  78032  78036  78042  78044  78050  78054  78056  78060  78062  78066  78068  78070  78071  78072  78074  78075  78076  78078  78080  78084  78086  78090  78092  78096  78102  78104  78110  78114  78116  78120  78126  78132  78134  78140  78144  78146  78152  78156  78162  78170  266669 

科目: 来源:2013-2014学年广东省珠海市高三(上)开学摸底数学试卷(文科)(解析版) 题型:选择题

下列函数中,既是偶函数又在区间(0,+∞)上单调递增的函数为( )
A.y=x-1
B.y=log2
C.y=|x|
D.y=-x2

查看答案和解析>>

科目: 来源:2013-2014学年广东省珠海市高三(上)开学摸底数学试卷(文科)(解析版) 题型:选择题

设i为虚数单位,则复数等于( )
A.
B.
C.
D.

查看答案和解析>>

科目: 来源:2013-2014学年广东省珠海市高三(上)开学摸底数学试卷(文科)(解析版) 题型:选择题

sin480°的值为( )
A.
B.
C.
D.

查看答案和解析>>

科目: 来源:2013-2014学年广东省珠海市高三(上)开学摸底数学试卷(文科)(解析版) 题型:选择题

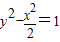
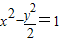
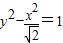
中心在原点的双曲线,一个焦点为,一个焦点到最近顶点的距离是,则双曲线的方程是( )
A.
B.
C.
D.

查看答案和解析>>

科目: 来源:2013-2014学年广东省珠海市高三(上)开学摸底数学试卷(文科)(解析版) 题型:选择题

如图所示,一个空间几何体的主视图和左视图都是边长为1的正方形,俯视图是一个直径为1的圆,那么这个几何体的全面积为( )
A.
B.2π
C.3π
D.4π

查看答案和解析>>

科目: 来源:2013-2014学年广东省珠海市高三(上)开学摸底数学试卷(文科)(解析版) 题型:选择题

经过圆x2-2x+y2=0的圆心且与直线x+2y=0平行的直线方程是( )
A.x+2y-1=0
B.x+2y-2=0
C.x+2y+1=0
D.x+2y+2=0

查看答案和解析>>

科目: 来源:2013-2014学年广东省珠海市高三(上)开学摸底数学试卷(文科)(解析版) 题型:选择题

已知实数x,y满足,则目标函数z=2x-y的最大值为( )
A.-3
B.
C.5
D.6

查看答案和解析>>

科目: 来源:2013-2014学年广东省珠海市高三(上)开学摸底数学试卷(文科)(解析版) 题型:选择题

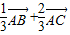
如图,在△ABC中,点D是BC边上靠近B的三等分点,则=( )

A.
B.
C.
D.

查看答案和解析>>

科目: 来源:2013-2014学年广东省珠海市高三(上)开学摸底数学试卷(文科)(解析版) 题型:选择题

用C(A)表示非空集合A中元素的个数,定义若A={1,2},B={x|(x2+ax)(x2+ax+2)=0},且A*B=1,设实数a的所有可能取值构成集合S,则C(S)=( )
A.4
B.1
C.2
D.3

查看答案和解析>>

科目: 来源:2013-2014学年广东省珠海市高三(上)开学摸底数学试卷(文科)(解析版) 题型:填空题

设等比数列{an}的公比q=2,前n项和为Sn,则=   

查看答案和解析>>

同步练习册答案