相关习题
 0  78069  78077  78083  78087  78093  78095  78099  78105  78107  78113  78119  78123  78125  78129  78135  78137  78143  78147  78149  78153  78155  78159  78161  78163  78164  78165  78167  78168  78169  78171  78173  78177  78179  78183  78185  78189  78195  78197  78203  78207  78209  78213  78219  78225  78227  78233  78237  78239  78245  78249  78255  78263  266669 

科目: 来源:2011-2012学年山东省济宁市汶上一中高一(上)12月月考数学试卷(解析版) 题型:选择题

已知偶函数f(x)在区间[0,+∞)单调增加,则满足f(2x-1)<的x取值范围是( )
A.(
B.[
C.(
D.[

查看答案和解析>>

科目: 来源:2011-2012学年山东省济宁市汶上一中高一(上)12月月考数学试卷(解析版) 题型:选择题

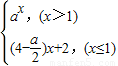
f(x)=是R上的单调递增函数,则实数a的取值范围为( )
A.(1,+∞)
B.[4,8)
C.(4,8)
D.(1,8)

查看答案和解析>>

科目: 来源:2011-2012学年山东省济宁市汶上一中高一(上)12月月考数学试卷(解析版) 题型:选择题

在圆x2+y2=4上,与直线4x+3y-12=0的距离最小的点的坐标是( )
A.(
B.(
C.(-
D.

查看答案和解析>>

科目: 来源:2011-2012学年山东省济宁市汶上一中高一(上)12月月考数学试卷(解析版) 题型:选择题

设点M是Z轴上一点,且点M到A(1,0,2)与点B(1,-3,1)的距离相等,则点M的坐标是( )
A.(-3,-3,0)
B.(0,0,-3)
C.(0,-3,-3)
D.(0,0,3)

查看答案和解析>>

科目: 来源:2011-2012学年山东省济宁市汶上一中高一(上)12月月考数学试卷(解析版) 题型:选择题

如图所示,阴影部分的面积S是h(0≤h≤H) 的函数,下图表示该函数图象的是( )

A.
B.
C.
D.

查看答案和解析>>

科目: 来源:2011-2012学年山东省济宁市汶上一中高一(上)12月月考数学试卷(解析版) 题型:填空题

已知集合A={x||x-a|≤1},B={x|x2-5x+4≥0}.若A∩B=∅,则实数a的取值范围是   

查看答案和解析>>

科目: 来源:2011-2012学年山东省济宁市汶上一中高一(上)12月月考数学试卷(解析版) 题型:填空题

一个水平放置的平面图形的斜二测直观图是直角梯形ABCD,如图所示,∠ABC=45°,AB=AD=1,DC⊥BC,这个平面图形的面积为   

查看答案和解析>>

科目: 来源:2011-2012学年山东省济宁市汶上一中高一(上)12月月考数学试卷(解析版) 题型:填空题

直三棱柱ABC-A1B1C1的每一个顶点都在同一球面上,若AC=,BC=C1C=1,∠ACB=90°,则A、C两点间的球面距离为   

查看答案和解析>>

科目: 来源:2011-2012学年山东省济宁市汶上一中高一(上)12月月考数学试卷(解析版) 题型:填空题

定义在R上的偶函数f(x)在区间[1,2]上是增函数.且满足f(x+1)=f(1-x),关于函数f(x)有如下结论:
; 
②图象关于直线x=1对称; 
③在区间[0,1]上是减函数;
④在区间[2,3]上是增函数;
其中正确结论的序号是   

查看答案和解析>>

科目: 来源:2011-2012学年山东省济宁市汶上一中高一(上)12月月考数学试卷(解析版) 题型:解答题

已知f(x)=2x,g(x)是一次函数,并且点(2,2)在函数f[g(x)]的图象上,点(2,5)在函数g[f(x)]的图象上,求g(x)的解析式.

查看答案和解析>>

同步练习册答案