相关习题
0 78095 78103 78109 78113 78119 78121 78125 78131 78133 78139 78145 78149 78151 78155 78161 78163 78169 78173 78175 78179 78181 78185 78187 78189 78190 78191 78193 78194 78195 78197 78199 78203 78205 78209 78211 78215 78221 78223 78229 78233 78235 78239 78245 78251 78253 78259 78263 78265 78271 78275 78281 78289 266669
科目:
来源:2013-2014学年宁夏银川一中高三(上)第一次月考数学试卷(文科)(解析版)
题型:填空题
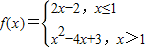
函数

的图象和函数g(x)=ln(x-1)的图象的交点个数是
.
查看答案和解析>>
科目:
来源:2013-2014学年宁夏银川一中高三(上)第一次月考数学试卷(文科)(解析版)
题型:解答题
已知函数f(x)=x
3-

x
2+bx+c.
(1)若f(x)在(-∞,+∞)是增函数,求b的取值范围;
(2)若f(x)在x=1时取得极值,且x∈[-1,2]时,f(x)<c
2恒成立,求 c的取值范围.
查看答案和解析>>
科目:
来源:2013-2014学年宁夏银川一中高三(上)第一次月考数学试卷(文科)(解析版)
题型:解答题
已知函数

(Ⅰ)若x∈[0,π],求f(x)的最大值和最小值;
(Ⅱ)若f(x)=0,求

的值.
查看答案和解析>>
科目:
来源:2013-2014学年宁夏银川一中高三(上)第一次月考数学试卷(文科)(解析版)
题型:解答题
有两个投资项目A,B,根据市场调查与预测,A项目的利润与A项目的投资成正比,其关系如图甲,B项目的利润与B项目的投资的算术平方根成正比,其关系如图乙.(注:利润与投资单位:万元)

(1)分别将A,B两个投资项目的利润表示为投资x(万元)的函数关系式;
(2)现将有10万元资金,将其中x(0≤x≤10)万元投资A项目,其余投资B项目.h(x)表示投资A项目所得利润与投资B项目所得利润之和.求h(x)的最大值,并指出x为何值时,h(x)取得最大值.
查看答案和解析>>
科目:
来源:2013-2014学年宁夏银川一中高三(上)第一次月考数学试卷(文科)(解析版)
题型:解答题
若函数f(x)=sin
2ax-sinaxcosax(a>0)的图象与直线y=m相切,并且切点的横坐标依次成公差为

的等差数列.
(1)求m的值.
(2)若点A(x
,y
)是y=f(x)图象的对称中心,且x
∈[0,

],求点A的坐标.
查看答案和解析>>
科目:
来源:2013-2014学年宁夏银川一中高三(上)第一次月考数学试卷(文科)(解析版)
题型:解答题
已知函数f(x)=x(a+lnx)有极小值-e
-2.
(Ⅰ)求实数a的值;
(Ⅱ)若k∈Z,且

对任意x>1恒成立,求k的最大值.
查看答案和解析>>
科目:
来源:2013-2014学年宁夏银川一中高三(上)第一次月考数学试卷(文科)(解析版)
题型:解答题

如图,已知PE切圆O于点E,割线PBA交圆O于A,B两点,∠APE的平分线和AE、BE分别交于点C,D
(Ⅰ)求证:CE=DE;
(Ⅱ)求证:

=

.
查看答案和解析>>
科目:
来源:2013-2014学年宁夏银川一中高三(上)第一次月考数学试卷(文科)(解析版)
题型:解答题
在直角坐标系中,以原点为极点,x轴的正半轴为极轴建坐标系,已知曲线C:ρsin
2θ=2acosθ(a>0),已知过点P(-2,-4)的直线L的参数方程为:

,直线L与曲线C分别交于M,N.
(Ⅰ)写出曲线C和直线L的普通方程;
(Ⅱ)若|PM|,|MN|,|PN|成等比数列,求a的值.
查看答案和解析>>
科目:
来源:2013-2014学年宁夏银川一中高三(上)第一次月考数学试卷(文科)(解析版)
题型:解答题
选修4-5:不等式选讲
已知函数f(x)=|2x-a|+|x-1|.
(1)当a=3时,求不等式f(x)≥2的解集;
(2)若f(x)≥5-x对?x∈R恒成立,求实数a的取值范围.
查看答案和解析>>
科目:
来源:2012-2013学年重庆一中高三(下)5月月考数学试卷(理科)(解析版)
题型:选择题
设全集I=R,集合A={y|y=x2-2}.B={x|y=log2(3-x)},则CIA∩B等于( )
A.{x|-2≤x<3}
B.{x|x≤-2}
C.{x|x<3}
D.{x|x<-2}
查看答案和解析>>