相关习题
0 78136 78144 78150 78154 78160 78162 78166 78172 78174 78180 78186 78190 78192 78196 78202 78204 78210 78214 78216 78220 78222 78226 78228 78230 78231 78232 78234 78235 78236 78238 78240 78244 78246 78250 78252 78256 78262 78264 78270 78274 78276 78280 78286 78292 78294 78300 78304 78306 78312 78316 78322 78330 266669
科目:
来源:2012-2013学年河北省唐山市丰南一中高一(下)第二次段考数学试卷(解析版)
题型:解答题
对某种电子元件的使用寿命进行调查,抽样200个检验结果如表:
| 寿命(h) | [100,200) | [200,300) | [300,400) | [400,500) | [500,600) |
| 个数 | 20 | 30 | 80 | 40 | 30 |
(1)列出频率分布表;
(2)画出频率分布直方图以及频率分布折线图;
(3)估计电子元件寿命在100h~400h以内的频率;
(4)估计电子元件寿命在400h以上的频率.
查看答案和解析>>
科目:
来源:2012-2013学年河北省唐山市丰南一中高一(下)第二次段考数学试卷(解析版)
题型:解答题
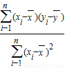
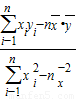
某同学大学毕业后在一家公司上班,工作年限x和年收入y(万元),有以下的统计数据:
(Ⅰ)请画出上表数据的散点图;
(Ⅱ)请根据上表提供的数据,求出y关于x的线性回归方程

;
(Ⅲ)请你估计该同学第8年的年收入约是多少?
(△ABC中(tanA+1)(tanB+1)=2,AB=2参考公式:b=

=

,a=

)
查看答案和解析>>
科目:
来源:2012-2013学年河北省唐山市丰南一中高一(下)第二次段考数学试卷(解析版)
题型:解答题
已知△ABC中,(tanA+1)(tanB+1)=2,AB=2,求:
(1)角C的度数;
(2)求三角形ABC面积的最大值.
查看答案和解析>>
科目:
来源:2012-2013学年河北省唐山市丰南一中高一(下)第二次段考数学试卷(解析版)
题型:填空题
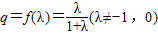
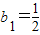
设等比数列{a
n}的前n项和为S
n,首项a
1=1,公比

.
(1)证明:s
n=(1+λ)-λa
n;
(2)若数列{b
n}满足

,b
n=f(b
n-1)(n∈N
*,n≥2),求数列{b
n}的通项公式;
(3)若λ=1,记

,数列{c
n}的前n项和为T
n,求证;当n≥2时,2≤T
n<4.
查看答案和解析>>
科目:
来源:2012-2013学年河南省南阳市唐河一中高一(下)第三次月考数学试卷(解析版)
题型:选择题
若

,则θ角的终边在( )
A.第一、二象限
B.第二、三象限
C.第一、四象限
D.第三、四象限
查看答案和解析>>
科目:
来源:2012-2013学年河南省南阳市唐河一中高一(下)第三次月考数学试卷(解析版)
题型:选择题
已知角a的终边经过点P(-4m,3m)(m≠0),则2sina+cosa的值是( )
A.1或-1
B.

或-

C.1或-

D.-1或

查看答案和解析>>
科目:
来源:2012-2013学年河南省南阳市唐河一中高一(下)第三次月考数学试卷(解析版)
题型:选择题
函数y=cos(

-2x)的单调递增区间是( )
A.[kπ+

,kπ+

π]
B.[kπ-

π,kπ+

]
C.[2kπ+

,2kπ+

π]
D.[2kπ-

π,2kπ+

](以上k∈Z)
查看答案和解析>>
科目:
来源:2012-2013学年河南省南阳市唐河一中高一(下)第三次月考数学试卷(解析版)
题型:选择题
将函数f(x)=sin(2x-

)的图象左移

,再将图象上各点横坐标压缩到原来的

,则所得到的图象的解析式为( )
A.y=sin
B.y=sin(4x+

)
C.y=sin(4x-

)
D.y=sin(x-

)
查看答案和解析>>
科目:
来源:2012-2013学年河南省南阳市唐河一中高一(下)第三次月考数学试卷(解析版)
题型:选择题
化简

,得到( )
A.-2sin5
B.-2cos5
C.2sin5
D.2cos5
查看答案和解析>>
科目:
来源:2012-2013学年河南省南阳市唐河一中高一(下)第三次月考数学试卷(解析版)
题型:选择题
函数y=sin2xcos2x是( )
A.周期为

的奇函数
B.周期为

的偶函数
C.周期为π的奇函数
D.周期为π的偶函数
查看答案和解析>>