相关习题
 0  78151  78159  78165  78169  78175  78177  78181  78187  78189  78195  78201  78205  78207  78211  78217  78219  78225  78229  78231  78235  78237  78241  78243  78245  78246  78247  78249  78250  78251  78253  78255  78259  78261  78265  78267  78271  78277  78279  78285  78289  78291  78295  78301  78307  78309  78315  78319  78321  78327  78331  78337  78345  266669 

科目: 来源:2012-2013学年广东省汕头市金山中学高二(上)12月月考数学试卷(文科)(解析版) 题型:填空题

设A为圆周上的一个定点,在圆周上随机取一点与A连接,则弦长超过半径的概率为   

查看答案和解析>>

科目: 来源:2012-2013学年广东省汕头市金山中学高二(上)12月月考数学试卷(文科)(解析版) 题型:填空题

已知F1、F2为椭圆+=1的两个焦点,过F1的直线交椭圆于A、B两点.若|F2A|+|F2B|=12,则|AB|=   

查看答案和解析>>

科目: 来源:2012-2013学年广东省汕头市金山中学高二(上)12月月考数学试卷(文科)(解析版) 题型:填空题

如图,平面中两条直线l1和l2相交于点O,对于平面上任意一点M,若x,y分别是M到直线l1和l2的距离,则称有序非负实数对(x,y)是点M的“距离坐标”.已知常数p≥0,q≥0,给出下列三个命题:
①若p=q=0,则“距离坐标”为(0,0)的点有且只有1个;
②若pq=0,且p+q≠0,则“距离坐标”为(p,q) 的点有且只有2个;
③若pq≠0则“距离坐标”为 (p,q) 的点有且只有4个.
上述命题中,正确命题的是    .(写出所有正确命题的序号)

查看答案和解析>>

科目: 来源:2012-2013学年广东省汕头市金山中学高二(上)12月月考数学试卷(文科)(解析版) 题型:解答题

已知A={x||x-a|≥4},B={x|x2-4x+3<0},p是A中x满足的条件,q是B中x满足的条件.
(1)求¬p中x满足的条件.
(2)若¬p是q的必要条件,求实数a的取值范围.

查看答案和解析>>

科目: 来源:2012-2013学年广东省汕头市金山中学高二(上)12月月考数学试卷(文科)(解析版) 题型:解答题

在△ABC中,且4cos(A+B)+2cos2C=-3.
(1)求角C的大小;
(2)若△ABC三个角A,B,C所对的边分别为a,b,c,且a2+b2-c2=4,求△ABC的面积.

查看答案和解析>>

科目: 来源:2012-2013学年广东省汕头市金山中学高二(上)12月月考数学试卷(文科)(解析版) 题型:解答题

一个四棱锥的直观图和三视图如图所示:
(1)求证:BC⊥PB;
(2)求出这个几何体的体积.
(3)若在PC上有一点E,满足CE:EP=2:1,求证PA∥平面BED.

查看答案和解析>>

科目: 来源:2012-2013学年广东省汕头市金山中学高二(上)12月月考数学试卷(文科)(解析版) 题型:解答题

已知椭圆的离心率,过点A(0,-b)和B(a,0)的直线与原点的距离为
(1)求椭圆的方程;
(2)已知定点E(-1,0),若直线y=kx+2(k≠0)与椭圆交于C、D两点,问:是否存在k的值,使以CD为直径的圆过E点?请说明理由.

查看答案和解析>>

科目: 来源:2012-2013学年广东省汕头市金山中学高二(上)12月月考数学试卷(文科)(解析版) 题型:解答题

已知圆O:x2+y2=1和定点A(2,1),由圆外一点P(a,b)向圆O引切线PQ,切点为Q,且满足|PQ|=|PA|
(1)求实数a,b间满足的等量关系式;
(2)求△OQP面积的最小值;
(3)求||PO|-|PQ||的最大值.

查看答案和解析>>

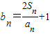
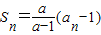
科目: 来源:2012-2013学年广东省汕头市金山中学高二(上)12月月考数学试卷(文科)(解析版) 题型:解答题

已知数列{an}的前n项和为Sn满足:(a为常数,且a≠0,a≠1)
(1)若a=2,求数列{an}的通项公式
(2)设,若数列{bn}为等比数列,求a的值.
(3)在满足条件(2)的情形下,设,数列{cn}前n项和为Tn,求证

查看答案和解析>>

科目: 来源:2012-2013学年浙江省杭州市富阳市场口中学高二(下)3月月考数学试卷(文科)(解析版) 题型:选择题

已知直线l的方程为x=-,则其倾斜角等于( )
A.30
B.60
C.90
D.120

查看答案和解析>>

同步练习册答案