相关习题
 0  78194  78202  78208  78212  78218  78220  78224  78230  78232  78238  78244  78248  78250  78254  78260  78262  78268  78272  78274  78278  78280  78284  78286  78288  78289  78290  78292  78293  78294  78296  78298  78302  78304  78308  78310  78314  78320  78322  78328  78332  78334  78338  78344  78350  78352  78358  78362  78364  78370  78374  78380  78388  266669 

科目: 来源:2012-2013学年浙江省绍兴市诸暨市草塔中学高二(下)第一次月考数学试卷(文科)(解析版) 题型:填空题

已知函数f(x)=x3+ax2+(a+6)x+1有极大值和极小值,则a的取值范围是   

查看答案和解析>>

科目: 来源:2012-2013学年浙江省绍兴市诸暨市草塔中学高二(下)第一次月考数学试卷(文科)(解析版) 题型:填空题

函数f(x)对于任意实数x满足条件f(x+2)=,若f(1)=-5,则f[f(5)]=   

查看答案和解析>>

科目: 来源:2012-2013学年浙江省绍兴市诸暨市草塔中学高二(下)第一次月考数学试卷(文科)(解析版) 题型:解答题

求下列函数的导数
(1)y=xex
(2)

查看答案和解析>>

科目: 来源:2012-2013学年浙江省绍兴市诸暨市草塔中学高二(下)第一次月考数学试卷(文科)(解析版) 题型:解答题

求函数的定义域、值域和单调区间.

查看答案和解析>>

科目: 来源:2012-2013学年浙江省绍兴市诸暨市草塔中学高二(下)第一次月考数学试卷(文科)(解析版) 题型:解答题

P:函数y=logax在(0,+∞)内单调递减;Q:曲线y=x2+(2a-3)x+1与x轴交于不同的两点.如果P或Q为真,P且Q为假,求a的取值范围.

查看答案和解析>>

科目: 来源:2012-2013学年浙江省绍兴市诸暨市草塔中学高二(下)第一次月考数学试卷(文科)(解析版) 题型:解答题

设函数,其中a为实数.
(Ⅰ)已知函数f(x)在x=1处取得极值,求a的值;
(Ⅱ)已知不等式f′(x)>2x2-x-a+1对x∈[0,1]都成立,求实数a的取值范围.

查看答案和解析>>

科目: 来源:2012-2013学年浙江省绍兴市诸暨市草塔中学高二(下)第一次月考数学试卷(文科)(解析版) 题型:解答题

已知定义在区间(0,+∞)上的函数f(x)满足f()=f(x1)-f(x2),且当x>1时,f(x)<0.
(1)求f(1)的值;
(2)判断并证明f(x)的单调性;
(3)若f(3)=-1,求f(x)在[2,9]上的最小值.

查看答案和解析>>

科目: 来源:2012-2013学年广东省清远市英德一中高二(上)第三次月考数学试卷(理科)(解析版) 题型:选择题

设sn是等差数列{an}的前n项和,已知a1=3,a5=11,则s7等于( )
A.13
B.35
C.49
D.63

查看答案和解析>>

科目: 来源:2012-2013学年广东省清远市英德一中高二(上)第三次月考数学试卷(理科)(解析版) 题型:选择题

在△ABC中,若(a+c)(a-c)=b(b+c),则∠A=( )
A.90°
B.60°
C.120°
D.150°

查看答案和解析>>

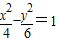
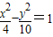
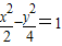
科目: 来源:2012-2013学年广东省清远市英德一中高二(上)第三次月考数学试卷(理科)(解析版) 题型:选择题

下列曲线中离心率为的是( )
A.
B.
C.
D.

查看答案和解析>>

同步练习册答案