相关习题
0 78633 78641 78647 78651 78657 78659 78663 78669 78671 78677 78683 78687 78689 78693 78699 78701 78707 78711 78713 78717 78719 78723 78725 78727 78728 78729 78731 78732 78733 78735 78737 78741 78743 78747 78749 78753 78759 78761 78767 78771 78773 78777 78783 78789 78791 78797 78801 78803 78809 78813 78819 78827 266669
科目:
来源:2012-2013学年山东省临沂市平邑县曾子学校高二(下)期中数学试卷(文科)(解析版)
题型:解答题
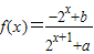
已知定义域为R的函数

是奇函数.
(Ⅰ)求a,b的值;
(Ⅱ)若对任意的t∈R,不等式f(t
2-2t)+f(2t
2-k)<0恒成立,求k的取值范围.
查看答案和解析>>
科目:
来源:2011-2012学年江西省抚州市临川一中高二(下)期中数学试卷(文科)(解析版)
题型:选择题
已知集合U={x|0≤x≤6,x∈Z},A={1,3,6},B={1,4,5}则A∩(CUB)=( )
A.{1}
B.{3,6}
C.{4,5}
D.{1,3,4,5,6}
查看答案和解析>>
科目:
来源:2011-2012学年江西省抚州市临川一中高二(下)期中数学试卷(文科)(解析版)
题型:选择题
设a是实数,且复数

在复平面内对应的点在第三象限,则a的取值范围为( )
A.{a|a>3}
B.{a|a<3}
C.{a|a≥-3}
D.{a|a<-3}
查看答案和解析>>
科目:
来源:2011-2012学年江西省抚州市临川一中高二(下)期中数学试卷(文科)(解析版)
题型:选择题
在面积为S的△ABC的边AB上任取一点P,则△PBC的面积大于

的概率是( )
A.

B.

C.

D.

查看答案和解析>>
科目:
来源:2011-2012学年江西省抚州市临川一中高二(下)期中数学试卷(文科)(解析版)
题型:选择题
条件p:a≥-2;条件q:a<0,则¬p是q的( )
A.充分非必要条件
B.必要非充分条件
C.充分必要条件
D.既非充分也非必要条件
查看答案和解析>>
科目:
来源:2011-2012学年江西省抚州市临川一中高二(下)期中数学试卷(文科)(解析版)
题型:选择题
已知偶函数f(x)在区间[0,+∞)上满足f′(x)>0则不等式f(2x-1)<f(

)的解集是( )
A.(

,

)
B.[

)
C.(

)
D.[

)
查看答案和解析>>
科目:
来源:2011-2012学年江西省抚州市临川一中高二(下)期中数学试卷(文科)(解析版)
题型:选择题
为积极倡导“学生每天锻炼一小时”的活动,某学校举办了一次以班级为单位的广播操比赛,9位评委给高三.1班打出的分数如茎叶图所示,统计员在去掉一个最高分和一个最低分后,算得平均分为91,复核员在复核时,发现有一个数字(茎叶图中的x)无法看清,若记分员计算无误,则数字x应该是( )

A.2
B.3
C.4
D.5
查看答案和解析>>
科目:
来源:2011-2012学年江西省抚州市临川一中高二(下)期中数学试卷(文科)(解析版)
题型:选择题
已知函数f(x)=

,则f(1)=( )
A.2
B.1
C.4
D.8
查看答案和解析>>
科目:
来源:2011-2012学年江西省抚州市临川一中高二(下)期中数学试卷(文科)(解析版)
题型:选择题
如图,是某市有关部门根据对当地干部的月收入情况调查后画出的样本频率分布直方图,已知图甲中从左向右第一组的频数为4000.在样本中记月收入在[1000,1500),[1500,2000),[2000,2500),[2500,3000),[3000,3500),[3500,4000]的人数依次为A
1、A
2、…、A
6.右下图是统计图甲中月工资收入在一定范围内的人数的算法流程图,则右下图中输出的S=( )

A.10000
B.6000
C.4000
D.以上答案都不对
查看答案和解析>>
科目:
来源:2011-2012学年江西省抚州市临川一中高二(下)期中数学试卷(文科)(解析版)
题型:选择题
如图是f(x)=x
3+bx
2+cx+d的图象,则x
12+x
22的值是( )

A.

B.

C.

D.

查看答案和解析>>