相关习题
 0  78704  78712  78718  78722  78728  78730  78734  78740  78742  78748  78754  78758  78760  78764  78770  78772  78778  78782  78784  78788  78790  78794  78796  78798  78799  78800  78802  78803  78804  78806  78808  78812  78814  78818  78820  78824  78830  78832  78838  78842  78844  78848  78854  78860  78862  78868  78872  78874  78880  78884  78890  78898  266669 

科目: 来源:2012-2013学年重庆八中高一(上)期末数学试卷(解析版) 题型:解答题

对于区间[m,n]上有意义的两个函数f(x)与g(x),如果对任意x∈[m,n]均有|f(x)-g(x)|≤1,则称f(x)与g(x)在[m,n]上是接近的;否则,称f(x)与g(x)在[m,n]上是非接近的.现有两个函数f1(x)=loga(x-3a)与(a>0且a≠1),f1(x)与f2(x)在给定区间[a+2,a+3]上都有意义,
(1)求a的取值范围;
(2)问f1(x)与f2(x)在给定区间[a+2,a+3]上是否为接近的?请说明理由.

查看答案和解析>>

科目: 来源:2012-2013学年江苏省泰州市靖江市高一(下)期中数学试卷(解析版) 题型:填空题

经过点A(3,2)、B(4,-2)的直线方程是   

查看答案和解析>>

科目: 来源:2012-2013学年江苏省泰州市靖江市高一(下)期中数学试卷(解析版) 题型:填空题

一元二次不等式(x-2)(x+2)<5的解集为   

查看答案和解析>>

科目: 来源:2012-2013学年江苏省泰州市靖江市高一(下)期中数学试卷(解析版) 题型:填空题

在△ABC中,已知sinA:sinB:sinC=3:5:7,则△ABC最大角的值是   

查看答案和解析>>

科目: 来源:2012-2013学年江苏省泰州市靖江市高一(下)期中数学试卷(解析版) 题型:填空题

在等差数列{an}中,已知S6=10,S12=30,则S18=   

查看答案和解析>>

科目: 来源:2012-2013学年江苏省泰州市靖江市高一(下)期中数学试卷(解析版) 题型:填空题

过点M(3,-4),且在坐标轴上的截距相等的直线的方程为   

查看答案和解析>>

科目: 来源:2012-2013学年江苏省泰州市靖江市高一(下)期中数学试卷(解析版) 题型:填空题

在△ABC中,已知a-b=c(cosB-cosA),则△ABC的形状为   

查看答案和解析>>

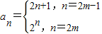
科目: 来源:2012-2013学年江苏省泰州市靖江市高一(下)期中数学试卷(解析版) 题型:填空题

已知数列{an}中,,m为正整数,前n项和为Sn,则S9=   

查看答案和解析>>

科目: 来源:2012-2013学年江苏省泰州市靖江市高一(下)期中数学试卷(解析版) 题型:填空题

已知线段AB两个端点A(2,-3),B(-3,-2),直线l过点P(1,2)且过线段AB相交,则l的斜率k的取值范围为   

查看答案和解析>>

科目: 来源:2012-2013学年江苏省泰州市靖江市高一(下)期中数学试卷(解析版) 题型:填空题

已知等比数列{an}中,公比q>0,且a1+a4=9,a2a3=8,则=   

查看答案和解析>>

同步练习册答案