相关习题
 0  78730  78738  78744  78748  78754  78756  78760  78766  78768  78774  78780  78784  78786  78790  78796  78798  78804  78808  78810  78814  78816  78820  78822  78824  78825  78826  78828  78829  78830  78832  78834  78838  78840  78844  78846  78850  78856  78858  78864  78868  78870  78874  78880  78886  78888  78894  78898  78900  78906  78910  78916  78924  266669 

科目: 来源:2010-2011学年北京师大附中高二(下)期末数学试卷(文科)(解析版) 题型:解答题

设函数f(x)=-x(x-a)2(x∈R),其中a∈R.
(Ⅰ)当a=1时,求曲线y=f(x)在点(2,f(2))处的切线方程;
(Ⅱ)当a≠0时,求函数f(x)的极大值和极小值;
(Ⅲ)当a>3时,证明存在k∈[-1,0],使得不等式f(k-cosx)≥f(k2-cos2x)对任意的x∈R恒成立.

查看答案和解析>>

科目: 来源:2012-2013学年江西省上饶市横峰中学高一(下)期末数学试卷(解析版) 题型:选择题

设a>1>b>-1,则下列不等式中恒成立的是( )
A.
B.
C.a>b2
D.a2>2b

查看答案和解析>>

科目: 来源:2012-2013学年江西省上饶市横峰中学高一(下)期末数学试卷(解析版) 题型:选择题

在等差数列{an}中,S10=120,那么a1+a10的值是( )
A.12
B.24
C.36
D.48

查看答案和解析>>

科目: 来源:2012-2013学年江西省上饶市横峰中学高一(下)期末数学试卷(解析版) 题型:选择题

等比数列{an}中,a2=9,a5=243,{an}的前4项和为( )
A.81
B.120
C.168
D.192

查看答案和解析>>

科目: 来源:2012-2013学年江西省上饶市横峰中学高一(下)期末数学试卷(解析版) 题型:选择题

如果直线ax+(1-b)y+5=0和(1+a)x-y-b=0同时平行于直线x-2y+3=0,则a、b的值为( )
A.a=,b=0
B.a=2,b=0
C.a=-,b=0
D.a=-,b=2

查看答案和解析>>

科目: 来源:2012-2013学年江西省上饶市横峰中学高一(下)期末数学试卷(解析版) 题型:选择题

在数列an中,a1=2,2an+1=2an+1,则a101的值为( )
A.49
B.50
C.51
D.52

查看答案和解析>>

科目: 来源:2012-2013学年江西省上饶市横峰中学高一(下)期末数学试卷(解析版) 题型:选择题

在不等边△ABC中,a为最大边,如果a2<b2+c2,则A的取值范围是( )
A.(,π)
B.(
C.(
D.(0,

查看答案和解析>>

科目: 来源:2012-2013学年江西省上饶市横峰中学高一(下)期末数学试卷(解析版) 题型:选择题

一条直线过点P(-3,),且圆x2+y2=25的圆心到该直线的距离为3,则该直线的方程为( )
A.x=-3或3x+4y+15=0
B.
C.x=-3
D.3x+4y+15=0

查看答案和解析>>

科目: 来源:2012-2013学年江西省上饶市横峰中学高一(下)期末数学试卷(解析版) 题型:选择题

已知:在△ABC中,,则此三角形为( )
A.直角三角形
B.等腰直角三角形
C.等腰三角形
D.等腰或直角三角形

查看答案和解析>>

科目: 来源:2012-2013学年江西省上饶市横峰中学高一(下)期末数学试卷(解析版) 题型:选择题

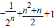
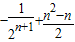
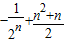
数列,…的前n项的和为( )
A.
B.
C.
D.

查看答案和解析>>

同步练习册答案