相关习题
0 78746 78754 78760 78764 78770 78772 78776 78782 78784 78790 78796 78800 78802 78806 78812 78814 78820 78824 78826 78830 78832 78836 78838 78840 78841 78842 78844 78845 78846 78848 78850 78854 78856 78860 78862 78866 78872 78874 78880 78884 78886 78890 78896 78902 78904 78910 78914 78916 78922 78926 78932 78940 266669
科目:
来源:2012-2013学年山西省忻州市高一(上)期末数学试卷(A卷)(解析版)
题型:选择题
阅读如图程序,若输入的数为5,则输出结果是( )

A.5
B.16
C.24
D.32
查看答案和解析>>
科目:
来源:2012-2013学年山西省忻州市高一(上)期末数学试卷(A卷)(解析版)
题型:选择题
已知函数f(x)=x
α的图象经过点

,则f(4)的值等于( )
A.

B.

C.2
D.16
查看答案和解析>>
科目:
来源:2012-2013学年山西省忻州市高一(上)期末数学试卷(A卷)(解析版)
题型:选择题
从装有2个红球和2个黒球的口袋内任取2个球,那么互斥而不对立的两个事件是( )
A.至少有一个黒球与都是红球
B.至少有一个黒球与都是黒球
C.至少有一个黒球与至少有1个红球
D.恰有1个黒球与恰有2个黒球
查看答案和解析>>
科目:
来源:2012-2013学年山西省忻州市高一(上)期末数学试卷(A卷)(解析版)
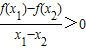
题型:选择题
定义在R上的偶函数满足:对任意x
1,x
2∈[0,+∞),且x
1≠x
2都有

,则( )
A.f(3)<f(-2)<f(1)
B.f(1)<f(-2)<f(3)
C.f(-2)<f(1)<f(3)
D.f(3)<f(1)<f(-2)
查看答案和解析>>
科目:
来源:2012-2013学年山西省忻州市高一(上)期末数学试卷(A卷)(解析版)
题型:选择题
如图所示的程序框图所表示的算法是( )

A.1
2+2
2+3
2+…+10
2B.10
2+11
2+12
2+…+1000
2C.10
2+20
2+30
2+…+1000
2D.1
2+2
2+3
2+…+1000
2
查看答案和解析>>
科目:
来源:2012-2013学年山西省忻州市高一(上)期末数学试卷(A卷)(解析版)
题型:选择题
在实数的原有运算法则下,我们定义新运算“⊕”为:当a≥b时,a⊕b=a;当a<b时,a⊕b=b2.则函数f(x)=(1⊕x)x-(2⊕x)(其中x∈[-2,2])的最大值等于( )
A.-1
B.1
C.6
D.12
查看答案和解析>>
科目:
来源:2012-2013学年山西省忻州市高一(上)期末数学试卷(A卷)(解析版)
题型:填空题
函数y=loga(x-1)+2(a>0,a≠1)的图象恒过一定点是 .
查看答案和解析>>
科目:
来源:2012-2013学年山西省忻州市高一(上)期末数学试卷(A卷)(解析版)
题型:填空题

某公司为改善职工的出行条件,随机抽取50名职工,调查他们的居住地与公司的距离d(单位:千米).若样本数据分组为[0,2],(2,4],(4,6],(6,8],(8,10],(10,12],由数据绘制的分布频率直方图如图所示,则样本中职工居住地与公司的距离不超过4千米的人数为
人.
查看答案和解析>>
科目:
来源:2012-2013学年山西省忻州市高一(上)期末数学试卷(A卷)(解析版)
题型:填空题
设不等式组

表示的平面区域为D,在区域D内随机取一个点,则此点到坐标原点的距离大于2的概率是
.
查看答案和解析>>
科目:
来源:2012-2013学年山西省忻州市高一(上)期末数学试卷(A卷)(解析版)
题型:填空题
已知函数f(x)=|x2-2ax+b|(x∈R),给出下列四个命题:
①f(x)必是偶函数;
②当f(0)=f(2)时,f(x)的图象必关于x=1对称;
③若a2-b≤0,则f(x)在区间[a,+∞]上是增函数;
④f(x)有最大值|a2-b|.
其中所有真命题的序号是 .
查看答案和解析>>