精英家教网 > 小学数学 > 题目详情

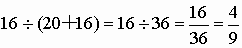
答案:5,9;4,9;1,1,4;4,5
解析:


练习册系列答案
相关习题

科目:小学数学 来源: 题型:

填一填:
指针停在
的可能性最大;指针停在
的可能性最小.

查看答案和解析>>

科目:小学数学 来源: 题型:

根据8x-6=50,可推得3x+7的值是(  )

查看答案和解析>>

科目:小学数学 来源: 题型:

m是三个连续自然数中间一个数,三个数之和是(  )

查看答案和解析>>

科目:小学数学 来源: 题型:

在横线上填上>、<、或=
9吨
900千克;       
7平方米
7000平方厘米;
6千克
600千克;     
1
3
1
5
;    
8米
8千米;
50平方厘米
4平方分米;  
3公顷
3平方千米;  
8
8
=
=
1.

查看答案和解析>>

科目:小学数学 来源: 题型:

有两个同样的长方形,长是8分米,宽是4分米.如果把它们拼成一个长方形,这个长方形的周长是多少分米?如果拼成一个正方形,这个正方形的周长是多少分米?

查看答案和解析>>

同步练习册答案