精英家教网 > 小学数学 > 题目详情

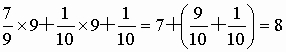
采用你认为合适的方法,计算.

答案:8
解析:

原式=


练习册系列答案
相关习题

科目:小学数学 来源: 题型:040

采用你认为合适的方法,计算.

(分数,先填分子,后填分母)

查看答案和解析>>

科目:小学数学 来源: 题型:040

采用你认为合适的方法,计算.

查看答案和解析>>

科目:小学数学 来源: 题型:040

采用你认为合适的方法,计算.

(分数,先填分子,后填分母)

查看答案和解析>>

科目:小学数学 来源: 题型:040

采用你认为合适的方法,计算.

(分数,先填分子,后填分母)

查看答案和解析>>

同步练习册答案